CE.CA.T.I. No. 89  Celaya, Gto. (Secretaría de Educación Pública)




Presentación de la unidad

La palabra estadística a menudo te remite a gráficas y tablas; cifras relativas a nacimientos, muertes, impuestos, demografía, ingresos, deudas, créditos, etc. No obstante, para aprovechar las herramientas de análisis estadstico, es necesario comprender qué representa cada concepto y la metodología mediante la cual se obtiene un dato estadístico.

En esta unidad se hablará sobre la importancia de la estadística, conocerás sus conceptos básicos, así como la metodología del muestreo para que al final, obtengas una muestra aleatoria simple.

Indice de temas que componen esta unidad.

Identificarás los conceptos básicos relacionados con la Estadística.

Reconocerás la utilidad e importancia de la Estadística.

Conceptos de estadística

Muestreo aleatorio

Muestreo simple aleatorio

Problemas

Competencia específica

Aplica la metodología estadística para obtener una muestra aleatoria simple, identificando los elementos que intervienen en un problema estadístico.

 1.1.  Introducción a la estadística

 La estadística es la ciencia cuyo objetivo es reunir información cuantitativa relacionada a individuos, grupos, series de hechos, entre otros. Gracias al análisis de estos datos se pueden deducir algunos significados precisos o algunas previsiones para el futuro. La estadística, en general, es la ciencia que trata la recopilación, la organización, la presentación, el análisis y la interpretación de datos numéricos con el fin de realizar una toma de decisiones más efectiva. 

La estadística

La palabra estadística también se utiliza para referirse a la información estadística(descripción de parámetros); es decir, la series de datos, tablas y gráficas que presentan resultados. Por ejemplo, cuando leemos las estadísticas de los equipos o escuchamos la estadística muestra que el índice de reprobación en las escuelas es tal, se hace referencia a los datos y no al procedimiento o metodología de análisis.

Utilidad e importancia de la estadística.

La estadística resulta muy útil no sólo para recopilar y describir datos, sino también para interpretar la información obtenida, que puede ser aprovechada para demostrar la evolución de un fenómeno a través de cierto tiempo.

En México, el Instituto Nacional de Estadística y Geografía (INEGI) se encarga de recabar información estadística y geográfica de todo el país, en diferentes áreas y contextos.

Los métodos estadísticos se utilizan en investigaciones de todas las áreas del conocimiento en el ámbito académico, profesional y laboral. La finalidad es resolver un problema, entendiendo éste como la diferencia entre lo real y lo deseado, donde la estadística muestra la realidad para que el investigador la analice y tome una decisión.



1.2.Conceptos de estadística

La estadística tiene aplicación en prácticamente todas las áreas del conocimiento, inclusive en la vida cotidiana, mucho más a menudo de lo que crees.

La siguiente actividad te permitirá apreciar una aplicación simple de la estadística e identificar algunos conceptos relacionados con ella:

Carlos presenta síntomas de una infección, su doctor le indica acudir a un laboratorio para tomarse una muestra de sangre a partir de la cual se realizarán estudios clínicos y determinar si los signos corresponden a dicha enfermedad.

Los técnicos del laboratorio extraen algunos mililitros de sangre para realizar un conteo de Globulos Blancos, que segun su  conteo (dentro de los globulos blancos, hay una variedad de ellos que sirven para contrarestar a las bacterias que pudieran entrar al cuerpo, como por una herida). El médico interpreta el resultado del análisis comparándolo contra los parámetros normales para diagnosticar adecuadamente si es una infección por bacterias o virus a Carlos, antes de seguir tenemos que comprender los siguientes conceptos

Los conceptos más utilizados en estadística son los que a continuación se presentan.


Población: Conjunto de todos los elementos que permiten resolver un problema, que presentan una característica común determinada, observable y medible. Por ejemplo, si el elemento es una persona, se pueden estudiar las características edad, peso, nacionalidad, sexo, etc. Los elementos que integran una población pueden corresponder a personas, objetos o grupos (por ejemplo, familias, las manzanas de una cosecha, empleados de una empresa, etc.).


Individuo: Un individuo o unidad estadística es cada uno de los elementos que componen la población. Nota que un individuo en estadística puede ser distinto a un individuo como persona. Por ejemplo, en los censos económicos se obtienen datos de los negocios. En este caso cada negocio, que está formado por varias personas, es un individuo de la población.


 

Muestra: Cuando es difícil estudiar la población debido a su gran tamaño o que provenga de un proceso que no se detiene (como la producción de un bien), se debe analizar un subconjunto o parte de ésta que la represente, llamado muestra, partiendo del supuesto de que este subconjunto presenta el mismo comportamiento y características que la población. En general el tamaño de la muestra es mucho menor al tamaño de la población.



Muestreo: Es el proceso de recabar los datos que se desean analizar, obtenidos de una proporción reducida y representativa de la población.


Dato: El dato es cada uno de los valores que se han obtenido al realizar un estudio estadístico. Por ejemplo: Si lanzamos una moneda al aire 5 veces obtenemos 5 datos: cara, cara, cruz, cara, cruz.


Variable: Se llama variable a una característica que se observa en una población o muestra, y a la cual se desea estudiar. La variable puede tomar diferentes valores dependiendo de cada individuo. Las variables se pueden clasificar en dos tipos:

1. Variable cuantitativa. Puede ser escala continua o discreta.

2. Variable cualitativa. Puede ser escala nominal u ordinal.



Cómo utilizamos los conceptos? 


En el ejemplo que habiasmos comenzado la estadística y la salud identificaste algunos conceptos básicos de estadística. Ahora, revisemos los conceptos que estaban en el texto.

La población de estudio es la sangre del individuo, de la cual se toma una muestra que representa una pequeña parte de esta población. Esta muestra contiene información sobre las características que se desean observar.

Los (las) expertos(as) de laboratorio preparan la sangre para observar en un microscopio, los elementos (variables) que contiene, por ejemplo pueden observar la cantidad de globulos blancos (los globulos blancos están presentes en varios tipos de células espécialilizadas, como son Basofilos, Neutrófilos, Segmentados, Linfocitos, Eosinofilos, Nonocitos, cada uno tiene una fución especifica y única, y su ausencia o aumento representa una alteración que se presenta por una enfermedad) son los individuos y los contiene la sangre de estos elementos son los datos que contiene la muestra por unidad de volumen.

Se realiza un conteo, en este caso, del número de plaquetas y del número de neutrófilos, esta información se representa por medio de un estadístico, característica numérica que refleja la información contenida en la muestra, en la que se observa el total de globulos blancos (con sus variedades) y plaquetas.

Aunque, en realidad, lo que nos interesa conocer o estimar es el total de plaquetas en el total de la sangre (población) del individuo.

Cuántos conceptos identificaste en la lectura?



1. Planteamiento del problema. En el planteamiento se define si se requiere de una muestra o es posible estudiar la población, las características a estudiar (las variables), si es necesario establecer  una hipótesis, entre otros. En este punto también se analizan los medios de los que se dispone y el procedimiento a seguir.

2. Elaboración de un modelo. Se establece un modelo teórico de comportamiento de las variables de estudio. En ocasiones no es posible diseñar el modelo hasta realizar un estudio previo.
Los posibles modelos son normal, binomial, poisson, uniforme, y otros como binomial negativa, geométrico.

3. Extracción de la muestra. Se usa alguna técnica de muestreo o un diseño experimental para obtener información de una pequeña parte de la población.

4. Tratamiento de los datos. En esta fase se eliminan posibles errores, se depura la muestra, se tabulan los datos y se calculan los valores que serán necesarios en pasos posteriores, como la media y la varianza de la muestra. Los métodos de esta etapa corresponden a los métodos de la estadística descriptiva. Algunas de las etapas de esta fase son: recopilación, clasificación y presentación de la información.

5. Estimación de los parámetros. La estadástica inferencial nos proporciona herramientas para la predicción o estimación de los parámetros de la poblacion que nos ayudarán a resolver el problema. Un ejemplo de estas herramientas son las pruebas de hipótesis que se obtienen del análisis de los datos y los intervalos de confianza.

1.3 Muestreo aleatorio.

 Introducción

Los estudios estadísticos normalmente se hacen con una parte de la población, ya que realizarlos sobre la totalidad resultaría demasiado complicado. Para que la información obtenida tenga validez y confiabilidad es necesario que la muestra cumpla con ciertas condiciones específicas.

Estas condiciones están relacionadas con el método para determinar el tamaño y características de la muestra y los individuos que la componen.


Los métodos de muestreo se pueden clasificar en:


Dentro de los métodos de muestreo probabilístico se encuentra, además del muestreo aleatorio simple (que revisarás con detalle más adelante), los siguientes tipos:

Muestreo Sistemático: Es aquel en el que los elementos de la población que conformarón la muestra se seleccionan en intervalos regulares, es decir, se numeran los elementos de la población, se escoge uno al azar i y todos los elementos i + k, se seleccionan para la muestra. Ejemplo: de una población de 1000 individuos se quiere seleccionar 100, la selección al azar del número i, da como resultado el individuo 13 de la población, entonces la muestra se obtiene seleccionando la unidad 13, la 26, la 39, hasta que se obtienen 100 observaciones.

Muestreo estratificado

En este tipo de muestreo, la población es clasificada en categorías diferentes entre sí, llamadas estratos, que poseen gran homogeneidad respecto a alguna característica (por ejemplo profesión, sexo, estado civil, etc.). Lo que se pretende con este tipo de muestreo es asegurarse de que todos los estratos de interés estarán representados adecuadamente en la muestra.

Cada estrato funciona independientemente, pudiendo aplicarse dentro de ellos, nuevamente, el muestreo aleatorio simple o el estratificado para elegir los elementos concretos que formarán parte de la muestra.

Muestreo aleatorio por conglomerados: En este tipo de muestreo cada unidad o individuo de la muestra esté formado por un grupo de elementos, al que se le llama conglomerado, este grupo contiene representantes de toda la población (de acuerdo a la característica que se mida).

El muestreo por conglomerados consiste en seleccionar aleatoriamente el número de conglomerados necesario para alcanzar el tamaño muestral, en el cual se investigan a todos los elementos que componen los conglomerados elegidos.

Muestreo mixto: Este consiste en la combinación de dos o más tipos de muestreo vistos anteriormente. Por ejemplo, si se desea estudiar una producción de medicinas puede hacerse primero un muestreo aleatorio por conglomerados y escogerse ciertos lotes. Sobre estos lotes se hace luego un sistemático y se selecciona uno de cada 29 frascos de medicina del lote.

1.3.1. Conceptos básicos de muestreo

Muestreo aleatorio simple

El muestreo aleatorio simple es el procedimiento por medio del cual se obtiene una muestra aleatoria simple.

Una muestra aleatoria simple es la que resulta de aplicar un método por el cual todos los elementos de la población tienen la misma probabilidad de ser elegidos.

A continuación, conocerás cuáles son los pasos para obtener una muestra aleatoria simple.

Paso 1. Definir la población de estudio y el parametro a estudiar.

Paso 2. Enumerar a todas las unidades de análisis que integran la población, asignándoles un número de identidad o identificación.

Paso 3. Determinar el tamaño de la población, determinar el porcentaje de error y el porcentaje de confianza y obtener una muestra preliminar.

Paso 4. Determinar el tamaño óptimo de la muestra para el estudio.

Paso 5. Seleccionar los sujetos dela muestra usando números aleatorios.

 

Pasos para obtener una muestra aleatoria simple

Has visto una descripción general del procedimiento que debes seguir para obtener una muestra aleatoria simple, ahora revisarás cada paso especéfico.

 

Paso 1. Definir la población de estudio y las variables a estudiar.

Recuerda que la población es el grupo formado por el conjunto total de individuos, objetos o medidas que poseen algunas características comunes, observables en un lugar y en un momento determinado. Por lo tanto, el paso 1 es determinar qué se estudiará.

Ejemplo

Un investigador realiza un estudio sobre las relaciones de género en el noviazgo, su objeto de estudio son las manifestaciones de violencia física y psicológica entre los (las) estudiantes del último año de la carrera de química. Su población es el total de estudiantes del último año de ingeniería química que tengan novio o novia; el total de individuos con esta caracteréstica es de 386. Por lo que, la población es de 386 individuos y las variables son: violencia física y violencia psicológica

 

 

Paso 2. Numerar todas las unidades de análisis que integran la población, asignándoles un número de identificación.

Una vez que has definido la población y las variables a estudiar, es necesario asignar un número de identificación a cada individuo de la población.

Siguiendo con el ejemplo de la relaciones de género en el noviazgo de los (las) estudiantes de química, lo que sigue es numerar a los 386 estudiantes un número del 1 al 386.

 

 

Paso 3. Definir la población, determinar el porcentaje de error y el porcentaje de confianza.

Para calcular el tamaño de una muestra hay que tomar en cuenta tres factores:

1. El porcentaje de confianza con el que se quiere generalizar los datos, desde la muestra hacia la población total.

2. El porcentaje de error que se pretende aceptar al momento de hacer la generalización.

3. El nivel de variabilidad que se calcula para comprobar la hipótesis.

A continuación definiremos estos conceptos.

Ahora veamos una definición de los conceptos implicados en el paso 3.

Definir el tamaño de la población. Significa determinar el número de individuos que la constituyen; la variable N representa el tamaño de la población. N=X

Porcentaje de confianza. Es el grado o nivel de seguridad que existe para generalizar los resultados obtenidos. Esto quiere decir que un porcentaje del 100% equivale a decir que no existe ninguna duda para generalizar tales resultados, pero también implica estudiar a la totalidad de los casos de la población. Para evitar un costo muy alto se busca un porcentaje de confianza menor, comúnmente es un 95%. El nivel de confianza es la probabilidad que establecemos (sin hacer ningún cálculo) para poder acertar al valor verdadero de la población . Este dato se obtiene a partir de la distribución normal estándar.

 

Porcentaje de error. Este error es una distancia alrededor del valor que deseamos estimar y nos da un margen de aproximación. Al igual que en el caso de la confianza, si se quiere eliminar el riesgo del error y considerarlo como 0%, entonces la muestra es del mismo tamaño que la población, por lo que conviene correr un cierto riesgo de equivocarse. Comúnmente se aceptan entre el 4% y el 6% como error, tomando en cuenta de que no son complementarios la confianza y el error.

Variabilidad. Es la probabilidad (o porcentaje) con el que se aceptá y se rechazá la hipótesis que se quiere comprobar. El porcentaje con que se aceptá tal hipótesis se denomina variabilidad positiva y se indica con p (también llamada probabilidad de éxito ), y el porcentaje con el que se rechazá la hipótesis es la variabilidad negativa, identificada por q (también llamada probabilidad de fracaso y se obtiene 1-p).

Variabilidad positiva=p= a la probabilidad de que suceda el evento
Variabilidad negativa=q=a la probabilidad de que no suceda el evento

La variabilidad positiva (p) al sumarla con la negativa (q) siempre nos debe dar la unidad p+q=1.Cuando no se tienen antecedentes sobre la investigación, entonces los valores de variabilidad son p=q=0.5

 

 

Paso 4. Determinar el tamaño de la muestra óptimo para el estudio.

Una vez que la población, el porcentaje de confianza, el porcentaje de error y el nivel de variabilidad han sido determinados, se debe determinar el tamaño de la muestra.

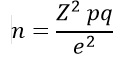
Puedes calcularlo mediante alguna de las dos fórmulas que examinarás: una para los casos en que se conoce el tamaño de la población y la otra para cuando este dato se desconoce.

Fórmula para cuando no se conoce el tamaño de la población

 


 

n es el tamaño de la muestra
Z es el nivel de confianza
p es la variabilidad positiva
q es la variabilidad negativa
E es la precisión o error

Ejemplo:

En un lote grande de medicinas, se desea verificar que la proporcián de los ingredientes activos sea el adecuado. Se debe determinar el tamaño de la muestra para un nivel de confianza del 95% con un error del 5%. Supón que la variabilidad p=q=0.5.

Solución:


Para el nivel de confianza sea igual al 95%, tienes que P(Z)=0.95 si Z=1.96. (ver tabla donde se obtiene este dato, en esta tabla se puede apreciar)

Es recomendable revisar el siguiente documento para comprender mejor el nivel de confianza

Debido a que la variabilidad y el error se pueden expresar por medio de porcentajes, en el caso necesario, hay que convertir esos valores a proporciones.

Sustituyendo:




Es decir, se ocupará una muestra de aproximadamente 384 unidades.

Fórmula para cuando se conoce el tamaño de la población


n es el tamaño de la muestra
Z es el nivel de confianza
p es la variabilidad positiva
q es la variabilidad negativa
N es el tamaño de la población
E es la precisión o error

Ejemplo:

En un lote de 25,000 cajas de medicina, se desea verificar que la proporción de los ingredientes activos sea el adecuado. Se debe determinar el tamaño de la muestra para un nivel de confianza del 95% con un error del 5%. Supón que la variabilidad p=q=0.5.

Solución:

Para el nivel de confianza sea igual al 95%, tienes que p(Z)=0.95 si Z=1.96. Sustituyendo:


En otras palabras, se ocupará una muestra de aproximadamente 378 cajas

Nota. En este momento no conoces los procedimientos para obtener todos los componentes de las fórmulas, en los ejemplos, estos componentes ya están dados. Estos procedimientos se verán más adelante.

 

 

 

 

Paso 5. Seleccionar los sujetos de la muestra usando números aleatorios.

El último paso para obtener la muestra es saber qué individuos específicos de la población se tomarán. Para hacer esto debes:

1. Numerar a los individuos de la población del 1 a N (donde N es el tamaño de la población).

2. Generar números aleatorios para seleccionar los individuos de la muestra.

3. Tomar los individuos correspondientes a los numeros elegidos.

Los números aleatorios se pueden generar por diversos métodos, por ejemplo mediante programas computaciones (por ejemplo en Excel con la función =aleatorio() ), funciones en calculadora, sacando números de una urna o lanzando una moneda al aire, o bien utilizando tablas de números aleatorios. Para obtener los números aleatorios, utilizarás la tabla, para ello lee el documento Uso_de_la_tabla_de_números_aleatorios..pdf

1. Determinar el nivel de confianza con que se desea trabajar. (Z ), donde

z = 1.96 para un 95% de confianza ó z = 1.65 para el 90% de confianza

TABLA DE APOYO AL CALCULO DEL TAMAÑO DE UNA MUESTRA

POR NIVELES DE CONFIANZA

 Certeza

95%

94%

93%

92%

91%

90%

80%

62.27%

50%

Z

1.96

1.88

1.81

1.75

1.69

1.65

1.28

1

0.6745

Z 2

3.84

3.53

3.28

3.06

2.86

2.72

1.64

1.00

0.45

e

0.05

0.06

0.07

0.08

0.09

0.10

0.20

0.37

0.50

e2

0.0025

0.0036

0.0049

0.0064

0.0081

0.01

0.04

0.1369

0.25

 Para ver como se distribuye algunas de las características de la muestra con respecto a la variable que se esta midiendo, podemos recurrir a la famosa campana de Gauss o Student que refleja la curva normal de distribución cuya característica principal es la de ser unimodal donde la media, mediana y la moda siempre coinciden.

MEDIA MODA MEDIANA


Esta distribución normal, nos permite representar en la estadística muchos fenómenos físicos, biológicos, psicolólogicos o sociológicos.

Ahora bien, se hace necesario el definir los térmnos Media, Moda y Mediana.

MEDIA: Es el conjunto de n observaciones sumadas y divididas entre n.

MODA: Se define como el valor que mas ocurre en un conjunto de observaciones.

MEDIANA: Es el centro de un conjunto de observaciones ordenadas en forma creciente.


1.- Esta curva esta detallada en todos los libros de estadistica y recurriremos a ella cuando deseemos obtener otros valores  de certeza como por ejemplo el 99% de estimacion y que da por resultado z = 3.00  ó z=1.65  para el 90%

2.- Considerar que los valores p y q, que se realice (p) y la de que no se realice (q); siempre tomando en consideración que la suma de ambos valores p + q será invariablemente siempre igual a 1, cuando no contemos con suficiente información, le asignaremos p = .50 q = .50

3. Determinar el grado de error máximo aceptable en los resultados de la investigación. Éste puede ser hasta del 10%; ya que variaciones superiores al 10% reducen la validez de la información. 

Se aplica la fórmula del tamaño de la muestra de acuerdo con el tipo de población

Población infinita

Población Finita

Cuando no se sabe el número exacto de unidades del que está compuesta la población.

Cuando se conoce cuántos elementos tiene la población

En donde:

Z = nivel de confianza.

p = Probabilidad a favor.

q = Probabilidad en contra.

q=p-1 Probabilidad en contra.

n = tamaño de la muestra

e = error de estimación.

En donde:

N = Universo

Z = nivel de confianza.

p = Probabilidad a favor.

q = Probabilidad en contra.

q=p-1 Probabilidad en contra.

n = tamaño de la muestra

e = error de estimación.


Ejemplo aplicado

Supóngase que se desea determinar la calidad y el nivel de servicio que ofrece nuestra Unidad de información de Archivo; por lo que resulta necesario entrevistar a los distintos usuarios que acuden a nuestro archivo para así conocer su opinión. Cómo calcularíamos el tamaño de la muestra?

1.Establecer el nivel de confianza (95% y un error del 5%) o el (90% - y un error del 10%).

2.Se obtiene el marco muestral, en este caso la referencia con que contamos será el registro de visitantes a nuestra Unidad de Información del año pasado y que arroja la cifra de 43,700.

Valores a estimar

n = ?

e = 5% =0.05 o 10% = 0.1

Z = 1.96 (tabla de distribución normal para el 95% de confiabilidad y 5% error) o

Z = 1.65 para el 90% de confiabilidad y 10% error.

N= 43,700 (universo)

p = 0.50

q = 0.50

3        Enseguida especificaremos las operaciones para evaluar a n (tamaño de la muestra) , Para ésta estimación supondremos que contamos con un 95% de confiabilidad y por tanto un porcentaje de error del 5% (0.05)


4. Ahora bien, si nuestro criterio fuera otro como por ejemplo el considerar un margen del 90% de confiabilidad con su correspondiente porcentaje de error, en este caso sería del 10% 0.10)

 

Problemas

1. Un lingúista quiere estudiar cuáles son las vocales más usadas dentro de las palabras en un texto de alrededor de tres mil palabras. Contar palabra por palabra sería demasiado trabajo. Por lo que se analizará un subconjunto representativo.

 

Resuelve las siguientes cuestiones:

    a)        Cuál es la población de estudio?

    b)        Cuáles son los individuos de esa población?

    c)        De cuántos individuos consta la población? Numéralos comenzando por el 00.

    d)        Cuál es la variable o cuáles son las variables a estudiar?

    e)        Cuál debe ser el número de elementos necesarios para tomar una muestra aleatoria simple tal que los resultados del estudio tengan un porcentaje de error de 5% y un porcentaje de confianza de 95%? Para calcularlo, considera que Z= 1.96 y que la variabilidad positiva es igual a la negativa.

     f)        Con el resultado anterior:

Obtén la muestra a partir de una tabla de números aleatorios.

Elabora una lista de los datos obtenidos de la muestra de acuerdo con las variables que señalaste en el inciso d.

2.    Determina los elementos necesarios para saber cuál es el color que se presenta con mayor frecuencia en los carros de tu colonia.

 

    a)        Cuál es la población de tu estudio?

     b)       Cuáles son los individuos de esa población?

    c)        Puedes determinar de cuántos individuos consta la población? Si es posible, numéralos comenzando por 00. Si no es posible, explica por qué.

    d)        Cuál es la variable o cuáles son las variables a estudiar?

    e)        Obtén el número de elementos necesarios para tomar una muestra aleatoria simple tal que los resultados del estudio tengan un porcentaje de error de 5% y un porcentaje de confianza de 95%? Para calcularlo, considera que Z= 1.96 y que la variabilidad positiva es igual a la negativa.

 

 En ocasiones recurrimos a ella para solucionar problemas y tomar decisiones. También es una metodología muy útil para presentar información y analizar diferentes situaciones de la vida cotidiana.

Los conceptos básicos que revisaste son:

     Estadística descriptiva

     Estadística inferencial

    Población

    Individuo

    Dato

    Parámetro

    Variable

    Muestreo

Actividad para desarrollar:


En esta seccion deberas de volverte un observador, tu tarea deberas de realizar una tabla donde anotes los siguintes datos:

en cuanto vayas a algún lugar  anota  el color  de los  autos  que veas  en el trayecto , colores como rojo, azul, verde, etc. no importa el tono solo el color principal, y realizaremos un estudio estadistico de esto te llevaras una sorpresa.


Puedes realizar un estudio estadistico de cualquier cosa, donde intervengan muchas presonas u objetos, sera muy interesante ver los resultados de tus estudios.



Dentro de los tipos de muestreo, te centraste en el muestreo probabilístico y pusiste especial énfasis en el muestreo aleatorio simple, en el que todos los individuos de la población tienen las mismas posibilidades de ser elegidos.

El procedimiento para obtener una muestra aleatoria simple consiste en determinar la muestra y seleccionar a los individuos de la población que formarán parte de ella. Esta selección se lleva a cabo a través de números aleatorios, que se pueden generar de varias formas: aplicaciones informáticas para estadística, calculadoras, tablas de números aleatorios, etc.