Capitulo 1

Para iniciar este curso definamos lo que es una RED:

Una red de computadoras (también llamada red de ordenadores o red informática) es un conjunto equipos (computadoras y dispositivos), conectados por medio de cables, señales, ondas o cualquier otro método de transporte de datos, para compartir información (archivos), recursos (discos, impresoras, programas, etc.) y servicios (acceso a una base de datos, Internet, correo electrónico, chat, juegos, etc.). A cada una de las computadoras conectadas a la red se le denomina un nodo.


Realiza la siguiente evaluacion



CLASIFICACION (SEGUN SU TOPOLOGIA)

La topología o forma lógica de una red se define como la forma de tender el cable a estaciones de trabajo individuales, y se pueden clasificar en:

Estrella

La red se une en un único punto; un concentrador de cableado o HUB que a través de él los bloques de información son dirigidos hacia las estaciones. Su ventaja es que el concentrador monitorea el tráfico y evita las colisiones y una conexión interrumpida no afecta al resto de la red. La desventaja es que los mensajes son enviados a todas las estaciones, aunque vaya dirigido a una.



Anillo

Las estaciones están unidas unas con otras formando un círculo por medio de un cable común. Las señales circulan en un solo sentido alrededor del círculo, regenerándose en cada nodo. Cada nodo examina la información que es enviada a través del anillo, si no está dirigida a él la pasa al siguiente nodo. La desventaja es que si se rompe una conexión, se cae la red completa.


Bus

Las estaciones están conectadas por un único segmento de cable. A diferencia del anillo, el bus es pasivo, no se produce regeneración de las señales en cada nodo.

Los nodos en una red de "bus" transmiten la información y esperan que ésta no vaya a chocar con otra información transmitida por otro de los nodos. Si esto ocurre, cada nodo espera una pequeña cantidad de tiempo al azar, después intenta retransmitir la información.


Jerárquica


Los nodos están colocados en forma de árbol. Es parecida a una serie de redes en estrella interconectadas, con la diferencia que no tiene un nodo central sino un nodo de enlace troncal, generalmente ocupado por un hub o switch, desde el que se ramifican los demás nodos. Es una variación de la red en bus, la falla de un nodo no implica interrupción en las comunicaciones porque se comparte el mismo canal de comunicaciones.


Híbridas

El bus, la estrella y el anillo se combinan algunas veces para formar redes híbridas.

*Anillo en estrella: se utiliza con el fin de facilitar la administración de la red. Físicamente, la red es una estrella centralizada en un concentrador, mientras que a nivel lógico, la red es un anillo.

* Bus en estrella: el fin es igual a la topología anterior. En este caso la red es un "bus" que se cablea físicamente como una estrella por medio de concentradores.

* Estrella jerárquica: esta estructura de cableado se utiliza en la mayor parte de las redes locales actuales, por medio de concentradores dispuestos en cascada para formar una red jerárquica.

Según su cobertura

PAN.- (red de área Personal): es una red de ordenadores usada para la comunicación entre los dispositivos de la computadora (teléfonos incluyendo las ayudantes digitales personales) cerca de una persona. El alcance de una PAN es de algunos metros. Se pueden conectar con cables a los USB y FireWire de la computadora.
Una red personal sin hilos del área (WPAN) se puede también hacer posible con tecnologías de red tales como IrDA (Infrared Data Association , “Asociación de Datos Infra-rojos”, define un estándar físico en la forma de transmisión y recepción de datos por rayos infrarrojos.) y Bluetooth es una especificación industrial para Redes Inalámbricas de área Personal (WPAN) creado por Bluetooth Special Interest Group, Inc. que posibilita la transmisión de voz y datos entre diferentes dispositivos mediante un enlace por radiofrecuencia en la banda ISM de los 2.4 GHz. Los principales objetivos que se pretenden conseguir con esta norma son:

Facilitar las comunicaciones entre equipos móviles.
Eliminar los cables y conectores entre estos.
Ofrecer la posibilidad de crear pequeñas redes inalámbricas y facilitar la sincronización de datos entre equipos personales.

LAN.- (red de área local): una red que se limita a un área tal como un cuarto, un solo edificio o una nave. Una LAN grande se divide generalmente en segmentos lógicos más pequeños llamados grupos de trabajo.

MAN.- (red de área metropolitana): una red que conecta las redes de dos o más locales pero no se extiende más allá de los límites de la una ciudad.

WAN.- (red de área mundial): es una red que cubre un área geográfica amplia y en gran parte de su estructura utiliza instalaciones de transmisión telefónicas.

Según su relación funcional

Cliente-Servidor: en este caso el servidor es una máquina específica que usa un sistema operativo desarrollado especialmente para este tipo de red. Las estaciones de trabajo comparten recursos disponibles a partir de este servidor. La ejecución de las tareas está dividida entre el cliente (o estación) y el servidor. Este tipo de red proporciona un mejor rendimiento y niveles de seguridad más adecuados para el trabajo profesional en red.

Par a par: punto a punto (P2P) es un tipo de red donde todos los equipos conectados pueden desempeñar el papel de servidor y de estación de trabajo al mismo tiempo. En este caso, si alguien quisiera compartir un recurso podría ofrecerlo a los demás. Este es un tipo de red para trabajos simples, donde el volumen de información intercambiado es pequeño y la seguridad no es un factor crítico.

Componentes Básicos

Computadoras y Periféricos

Placas de comunicación


Tarjeta de Red LAN (cable) Tarjeta red LAN (Inalambrica)

Placa (tarjeta) de red: permite la conexión con otras computadoras utilizando un cable. Alcanza gran velocidad de transmisión.

Módem: cuando la PC se conecta por medio de la línea telefónica.

La función de un módem es modular y desmodular una señal analógica. El proceso de modulación es el que convierte las señales digitales en analógicas, el proceso de desmodulación hace lo contrario, de señal analógica a digital. ¿Para qué? Para poder enviar la señal y establecer una conexión mediante líneas analógicas de telefonía. Es básicamente el que hace posible que Internet llegue a un hogar mediante la línea del teléfono fijo.

El módem por lo tanto es el que permite conectar la señal que ofrece el proveedor de Internet/operador/ISP al ordenador u otros dispositivos digitales. Dado que la señal que proviene del proveedor es analógica y llega por cable coaxial o fibra, se requiere de un aparato capaz de transformarla en digital. Lo mismo ocurre cuando se envían datos desde los dispositivos del hogar hacia el exterior.


Cables de conexión

Coaxial: similar al utilizado para la TV por cable. Transmite información a 10 Mbps sobre distancias de casi 600 metros. Ej.: RG58 o banda base (utilizado en redes LAN de pequeña cobertura) y RG59 (utilizado para señales de televisión).

Par trenzado: sus alambres conductores están enrollados, logra mayor inmunidad al ruido electromagnético. Velocidad de hasta 1 Mbps a aprox. de 100 metros. Es similar a los que conectan los aparatos telefónicos. Ej.: STP y UTP (se utiliza en redes de computadoras en topología de estrella).

Fibra óptica: en lugar de usar señales eléctricas para transmitir la información usa señales de luz, solucionando el problema de ruido. Ofrecen un ancho de banda mucho mayor, por eso transmite a velocidades de cientos de Mbps

Transmisiones Inalámbricas

Definición: subred de comunicación con cobertura geográfica limitada, cuyo medio físico de comunicación es el aire.

No pretende reemplazar una red cableada, sólo la complementa en situaciones donde es difícil realizar una conexión o para alcanzar grandes distancias.

Presenta la desventaja de cobertura y velocidad limitada y es una tecnología relativamente nueva. Este tipo de comunicación es hecha por compañías especializadas que además suministran los equipos como antenas, codificadores, etc.

Aplicación: para expandir una red, movilidad de equipos, crear una nueva red, instalación de red en áreas poco accesibles para cablear, colocación de LAN temporal, enlace entre edificios, etc.

Ejemplos: Radio, Infrarrojos, Microondas, BlueTooth, Satélite.


Realiza el cuestionario

Tecnología Ethernet

Evolución de Ethernet

En la década de los 70’s Norman Abramson y sus colegas de la universidad de Hawaii inventaron un método novedoso y elegante para resolver el problema de la asignación del canal. Desde entonces su trabajo ha sido extendido por muchos investigadores. Este sistema llamado ALOHA, usó la radio difusión basada en tierra, la idea básica es aplicable a cualquier sistema en que los usuarios no coordinados compiten por el uso de un solo canal compartido.

Se mencionan dos versiones el ALOHA puro y ranurado.

ALOHA puro

La idea básica de un sistema ALOHA es sencilla: permitir que los usuarios transmitan cuando tengan datos que enviar. Por supuesto habrá colisiones y las tramas en colisión se dañaran. Sin embargo, debido a la propiedad de retroalimentación de la difusión, un emisor siempre puede saber si la trama fue destruida o no escuchando el canal, de la misma manera que los demás usuarios. Con una LAN la retroalimentación es inmediata. Si la trama fue destruida, el emisor simplemente espera un tiempo aleatorio y la envía de nuevo. El tiempo de espera debe de ser aleatorio o las mismas tramas chocaran una y otra vez, en sincronía. Los sistemas en los cuales varios usuarios comparten un canal común de modo tal que puede dar pie a conflictos se conocen como sistemas de contención.

ALOHA ranurado

En 1972, Roberts publicó un método para para duplicar la capacidad de un sistema ALOHA. Su propuesta fue dividir el tiempo en intervalos discretos cada uno de los cuales correspondía a una trama. Este enfoque requiere que los usuarios acuerden límites de ranura de tiempo. Una manera de lograr la sincronización sería tener una estación especial que emitiera una señal al comienzo de cada intervalo, como un reloj. En este sistema no se permite que envíe cada vez que se pulse un ENTER. En cambio, se le obliga a esperar el comienzo de la siguiente ranura. Por lo tanto el ALOHA puro continuo se convierte en uno discreto. Dado que el periodo vulnerable es ahora de la mitad, se puede esperar 37% de ranuras vacías, 37% de éxitos y 26% de colisiones.

El ALOHA ranurado es importante por una razón que al principio tal vez no sea obvia. Se diseñó en 1970 y se utilizó en algunos sistemas experimentales iniciales, después casi se olvidó por completo. Cuando se inventó el acceso a Internet a través de cable, de repente surgió el problema de como asignar un canal compartido entre varios competidores, por lo que el ALOHA ranurado se saco del cesto de basura para resolver el problema.

Los protocolos en los que las estaciones escuchan una portadora (es decir, una transmisión) y actúan de acuerdo con ello se llaman protocolos de contención de portadora. A continuación mencionaremos varias versiones de los protocolos de detección de portadora.

CSMA persistente

Cuando una estación tiene datos por transmitir, primero escucha el canal para saber si otra esta transmitiendo en ese momento. Si el canal esta ocupado, la estación espera a que se desocupe. Cuando la estación detecta un canal inactivo, trasmite una trama. Si ocurre una colisión, la estación espera una cantidad aleatoria de tiempo y comienza de nuevo. El retardo de propagación tiene un efecto importante en el desempeño del protocolo. Hay una pequeña probabilidad de que, justo después de que una estación empieza a trasmitir, otra estación esta lista para enviar y detectar el canal. Si la señal de la primera estación no ha llegado aún ala segunda, esta última detectará un canal inactivo y comenzará a enviar también, lo que dará como resultado una colisión. Cuanto mayor sea el tiempo de propagación, más importante será este efecto, y peor el desempeño del protocolo.

CSMA no persistente

En este se hace un intento consciente de ser menos egoísta que en el previo. Antes de enviar, una estación escucha el canal. Si nadie más esta transmitiendo, la estación comienza a hacerlo. Sin embargo, si el canal ya esta en uso, la estación no lo escucha de manera continúa al fin de tomarlo de inmediato al detectar el final de la transmisión previa. En cambio, espera un periodo aleatorio y repite el algoritmo. En consecuencia, este algoritmo conduce a un mejor uso del canal pero produce mayores retardos que el CSMA persistente.

CSMA con detección de colisiones

Los protocolos CSMA persistentes y no persistentes ciertamente son una mejora respecto a ALOHA porque aseguran que ninguna estación comienza a transmitir cuando detecta que el canal está ocupado. Otra mejora es que las estaciones aborten sus trasmisiones tan pronto como detecten una colisión. En otras palabras, si dos estaciones detectan que el canal está inactivo y comienzan a transmitir en forma simultánea, ambas detectaran la colisión casi de inmediato. En lugar de terminar la transmisión de sus tramas, que de todos modos están irremediablemente alteradas, deben de detener de manera abrupta la transmisión tan pronto detecten la colisión. La terminación pronta de la tramas dañadas ahorra tiempo y ancho de banda. Este protocolo es conocido como CSMA/CD (Carrier Sense Multiple Access with Collision Detection), se usa ampliamente en la LANs Ethernet en la subcapa MAC.

Ahora si una estación ha terminado de transmitir su trama, cualquier otra estación que tenga una trama por enviar ahora puede intentar hacerlo. Si dos o mas estaciones deciden transmitir de forma simultánea, habrá una colisión. Las colisiones pueden detectarse comparando la potencia o el ancho del pulso de la señal recibida con el de la señal transmitida. Una vez que una estación detecta una colisión, aborta la transmisión, espera un tiempo aleatorio e intenta de nuevo, suponiendo que ninguna otra estación ha comenzado a transmitir durante ese lapso. Por lo tanto CSMA/CD consistirá en periodos alternantes de contención y transmisión, ocurriendo periodos de inactividad cuando todas la estaciones están en reposo (idle).

Ethernet

Cuando comúnmente se habla de Ethernet se hace referencia a Ethernet basada en la norma IEEE 802.3, la cual describe Ethernet como medio compartido que además es dominio de colisión y difusión. En Ethernet dos estaciones no pueden transmitir simultáneamente y cuantas mas estaciones existan en ele segmento más probabilidad existe de colisión, esto ocurre en modo half-duplex, en el que una estación no es capaz de transmitir y recibir a la vez.

Ethernet esta basada en la tecnología CSMA/CD, que describe un modo de operación de sistemas de contienda o de máximo esfuerzo.
En enlaces conmutados Ethernet se puede solucionar el problema del medio compartido dedicando a cada estación un puerto del switch, de esta forma cada estación podría tener su propio dominio de colisión o al menos estas colisiones podrían ser menos repetitivas.

En el caso de full-duplex una estación podría enviar y recibir tramas de forma simultánea, lo cual hará que el rendimiento del medio, por ejemplo de 10 Mbps ascienda hasta 20Mbps, 10 para la Tx y 10 para la Rx.

En cuanto al medio utilizado en Ethernet el más común es el UTP, con un máximo de distancia de 100mts. 10Base2, 10Base5 son tecnologías que han caído en desuso.
FastEthernet

Esta definido en el estándar 802.3u, el cual define un nuevo estándar que compartiendo la subcapa de acceso al medio (MAC) con IEEE 802.3 pueda transmitir a 100Mbps.

La diferencia con el 802.3 estriba en la modificación del medio físico manteniendo la operación de CSMA/CD y la subcapa MAC.

Aunque el medio más utilizado en Fast Ethernet es el UTP cat 5, existe la posibilidad de utilizar cableado UTP de menor calidad o por el contrario la utilización de fibra óptica monomodo y multimodo con las que se obtiene una mayor longitud en el segmento.

Fast Ethernet proporciona la capacidad de full-duplex al igual que Ethernet, mejorando su rendimiento hasta 200Mbps, y proporcionando la autonegociación.
La especificación Fast Ethernet dispone la compatibilidad con Ethernet tradicional, así que los puertos en caso de 100Base-T pueden ser 10/100, además de la velocidad es posible negociar el dúplex en la transmisión.

100Base-T2(full dúplex)
100Base-TX(full dúplex)
100Base-T2(half dúplex)
100Base-T4
100Base-TX
10Base-T(full dúplex)
10Base-T

Se recomienda no utilizar la autonegociación y configurar los puertos de manera manual para asegurar el modo de operación deseado.

Gigabit Ethernet

El estándar IEEE 802.3z es una mejora sobre el Fast Ethernet que permite proporcionar velocidades de 1Gbps, pero para conseguir este resultado fue necesario utilizar el estándar ANSI X3T11-FiberChannel junto con el estándar 802.3. De esta forma surgió el nuevo estándar con el modo de operación de Ethernet, pero a 1 Gbps. Este permite la compatibilidad con sus predecesores, existen puertos 10/100/1000 y es posible la autonegociación, esta se realiza igual que en el caso de Fast Ethernet, pero añadiendo como más prioritario 1000Base-t (full dúplex) y posteriormente 1000Base-T (half-dúplex).

10-Gigabit Ethernet
En el caso de el estándar 802.3ae funciona sobre una nueva capa física totalmente diferente a las anteriores, pero manteniendo al subcapa MAC exactamente igual que las versiones antecesoras.

10-Gigabit Ethernet solo funciona a 10Gbps full dúplex, en este caso no existe compatibilidad con versiones anteriores de Ethernet ya que la capa física no es compatible.

En cuanto al a capa física se disponen de 2 tipos de interfaces dependientes del medio PDM (Physical Media Dependent):
LAN PHY: interconecta switches dentro de la misma red de campus.
WAN PHY: Interfases para entornos WAN que utilicen tecnologías de transmisión síncrona

Ethernet se basa en estándares internacionales  con ello se menciona el IEEE (es una organización sin ánimo de lucro, la mayor asociación del mundo para el desarrollo tecnológico. Su nombre completo es el Instituto de Ingenieros Eléctricos y Electrónicos) para dada tecnologia Ethernet se menciona como standard 802.x y esta especificación se designa de la siguiente forma:

ESTANDARES DE IEEE (802.x)

En comunicaciones, CSMA/CD (del inglés Carrier Sense Multiple Access with Collision Detection), es un algoritmo de acceso al medio compartido. Su uso está especialmente extendido en redes Ethernet donde es empleado para mejorar sus prestaciones. En CSMA/CD, los dispositivos de red escuchan el medio antes de transmitir, es decir, es necesario determinar si el canal y sus recursos se encuentran disponibles para realizar una transmisión. Además, mejora el rendimiento de CSMA finalizando el envío cuando se ha detectado una colisión.

El siguiente procedimiento se usa para iniciar una transmisión. El procedimiento se completa cuando la trama se transmite con éxito o se detecta una colisión durante la transmisión.

¿Hay una trama lista para transmitir? Si no, esperar por una trama.
¿Está el medio inactivo? Si no, esperar hasta que esté listo.
Comenzar a transmitir y monitorear colisiones durante la transmisión.
¿Ocurrió una colisión? De ser así, ir al procedimiento de colisión detectada.
Restablecer los contadores de retransmisión y completar la transmisión de la trama.
El siguiente procedimiento se usa para resolver una colisión detectada. El procedimiento se completa cuando se inicia la retransmisión o se cancela la retransmisión debido a numerosas colisiones.

Continuar la transmisión (con una señal de atasco en lugar de un encabezado de trama/datos/CRC) hasta que se alcance el tiempo mínimo para garantizar que todos los receptores detecten la colisión.
Incrementar el contador de retransmisión
¿Se alcanzó el número máximo de intentos de transmisión? Si es así, abortar la transmisión.
Calcular y esperar el período de espera aleatorio según el número de colisiones.
Volver a ingresar al procedimiento principal en el paso 1.

802.1
Define la relación entre los estándares 802 del IEEE y el Modelo de Referencia para Interconexión de Sistemas Abiertos (OSI) de la ISO (Organización Internacional de Estándares).

802.2
Control de Enlaces Lógicos. Define el protocolo de control de enlaces lógicos (LLC) del IEEE, el cual asegura que los datos sean transmitidos de forma confiable por medio del enlace de comunicación. La capa de Datos-Enlace en el protocolo OSI esta subdividida en las subcapas de Control de Acceso a Medios (MAC) y de Control de Enlaces Lógicos (LLC).

802.3
Redes CSMA/CD (del inglés Carrier Sense Multiple Access with Collision Detection) o, en español, acceso múltiple con escucha de portadora y detección de colisiones, es un algoritmo de acceso al medio compartido). El estándar 802.3 del IEEE (ISO 8802-3), que define cómo opera el método de Acceso Múltiple con Detección de Colisiones (CSMA/CD) sobre varios medios. El estándar define la conexión de redes sobre cable coaxial, cable de par trenzado, y medios de fibra óptica. La tasa de transmisión original es de 10 Mbits/seg, pero nuevas implementaciones transmiten arriba de los 100 Mbits/seg calidad de datos en cables de par trenzado.

802.4
Redes Token Bus. El estándar token bus define esquemas de red de anchos de banda grandes, usados en la industria de manufactura. Se deriva del Protocolo de Automatización de Manufactura (MAP).

802.5
Redes Token Ring. También llamado ANSI 802.1-1985, define los protocolos de acceso, cableado e interfase para la LAN token ring. IBM hizo popular este estándar. Usa un método de acceso de paso de tokens y es físicamente conectada en topología estrella, pero lógicamente forma un anillo. Los nodos son conectados a una unidad de acceso central (concentrador) que repite las señales de una estación a la siguiente.

802.6
Redes de área Metropolitana (MAN). Define un protocolo de alta velocidad donde las estaciones enlazadas comparten un bus dual de fibra óptica usando un método de acceso llamado Bus Dual de Cola Distribuida (DQDB). El bus dual provee tolerancia de fallos para mantener las conexiones si el bus se rompe. El estándar MAN esta diseñado para proveer servicios de datos, voz y vídeo en un área metropolitana de aproximadamente 50 kilómetros a tasas de 1.5, 45, y 155 Mbits/seg.

802.7
Grupo Asesor Técnico de Anchos de Banda. Este comité provee consejos técnicos a otros subcomités en técnicas sobre anchos de banda de redes.

802.8
Grupo Asesor Técnico de Fibra óptica. Provee consejo a otros sub-comités en redes por fibra óptica como una alternativa a las redes basadas en cable de cobre. Los estándares propuestos están todavía bajo desarrollo.

802.9
Redes Integradas de Datos y Voz. El grupo de trabajo del IEEE 802.9 trabaja en la integración de tráfico de voz, datos y vídeo para las LAN 802 y Redes Digitales de Servicios Integrados (ISDN's). Los nodos definidos en la especificación incluyen teléfonos, computadoras y codificadores/decodificadores de vídeo (codecs). La especificación ha sido llamada Datos y Voz Integrados (IVD).

802.10
Grupo Asesor Técnico de Seguridad en Redes. Este grupo esta trabajando en la definición de un modelo de seguridad estándar que opera sobre una variedad de redes e incorpora métodos de autenticación y encriptamiento. Los estándares propuestos están todavía bajo desarrollo en este momento.

802.11
Redes Inalámbricas. Este comité esta definiendo estándares para redes inalámbricas. Esta trabajando en la estandarización de medios como el radio de espectro de expansión, radio de banda angosta, infrarrojo, y transmisión sobre líneas de energía. Dos enfoques para redes inalámbricas se han planeado. En el enfoque distribuido, cada estación de trabajo controla su acceso a la red. En el enfoque de punto  de coordinación, un hub central enlazado a una red alámbrica controla la transmisión de estaciones de trabajo inalámbricas.

802.12
Prioridad de Demanda (100VG-ANYLAN). Este comité está definiendo el estándar Ethernet de 100 Mbits/seg. Con el método de acceso por Prioridad de Demanda propuesto por Hewlett Packard y otros vendedores. El cable especificado es un par trenzado de 4 alambres de cobre y el método de acceso por Prioridad de Demanda usa un hub central para controlar el acceso al cable. Hay prioridades disponibles para soportar envío en tiempo real de información multimedia.

Realiza el cuestionario

NORMAS ANSI ISO IEEE PARA CABLEADO UTP

Cableado UTP  ---- Unshielded Twisted Pair (lo que puede traducirse como “Par trenzado no blindado”) ----

Un sistema de cableado estructurado consiste de una infraestructura flexible de cables que puede aceptar y soportar sistemas de computación y de teléfono múltiples. En un sistema de cableado estructurado, cada estación de trabajo se conecta a un punto central utilizando una topología tipo estrella, facilitando la interconexión y la administración del sistema, esta disposición permite la comunicación virtualmente con cualquier dispositivo, en cualquier lugar y en cualquier momento.

Categorías del Cable UTP

Cableado de categoría 1 :
Descrito en el estándar EIA/TIA 568B. El cableado de Categoría 1 se utiliza para comunicaciones telefónicas y no es adecuado para la transmisión de datos.

Cableado de categoría 2 :
El cableado de Categoría 2 puede transmitir datos a velocidades de hasta 4 Mbps.

Cableado de categoría 3 :
El cableado de Categoría 3 se utiliza en redes 10BaseT y puede transmitir datos a velocidades de hasta 10 Mbps.

Cableado de categoría 4 :
El cableado de Categoría 4 se utiliza en redes Token Ring y puede transmitir datos a velocidades de hasta 16 Mbps.

Cableado de categoría 5 :
El cableado de Categoría 5 puede transmitir datos a velocidades de hasta 100 Mbps. Esta definido TIA/EIA-568-B

Cableado de categoría 5e :
El cableado de Categoría 5e aunque paulatinamente sustituida por la siguiente. Está definido en TIA/EIA-568-B y soporta velocidades gigabit ethernet de 1000 Mbps. Está diseñado para transmisión a frecuencias de 100MHz, pero puede superarlos.

Cableado de categoría 6 :
Cat 6 definida en TIA/EIA-568-B y usado en redes gigabit ethernet a 1000 Mbps. Han sido diseñados para transmisión a frecuencias de hasta 250 MHz.

Cableado de categoría 6e :
Cat 6a es un paso más allá usado en redes 10 gigabit ethernet o 10000 Mbps. Funcionan a frecuencias de hasta 500 MHz.

Cableado de categoría 7 :
Cat 7 suben el listón para funcionar a 600 MHz según la norma internacional ISO-11801 y se utilizan en redes 10 gigabit ethernet.

Cableado de categoría 7a :
Cat 7A con frecuencias de 1000 MHz y conexiones de redes 10 gigabit ethernet.

Cableado de categoría 8 :
Cat 8 es el nuevo estándar compatible con frecuencias 2000 MHz y velocidad de 40 Gbps o 40000 Mbps.



Nombre

Velocidad

Medio y distancia

Codificación

10Base5

10 Mbits /s

Coaxial grueso.

En el segmento 500 mts.

Entre equipo y el transceiver: 50 metros longitud máxima de la red, 2,500 mts.

Manchester

10Base2

10 Mbits /s

Coaxial delgado

Max distancia 185 mts. Entre segmentos, en total 925 mts

Manchester

10BaseT

10 Mbits /s

Cable UTP, cat 3-4-5

Máximo 100 mts.

Manchester

10BaseFL

10 Mbits /s

FDDI

Máximo 2000 mts.

Manchester ON/ OFF

100BaseTx

100 Mbits /s

FDDI, optimo, para par trenzado NO.

Máximo 100 mts.

4B/5B-NRZI, 80% mejor que Manchester

100BaseFX

100 Mbits /s

FDDI

Minimo a 1000, max. 2000 Mts

4B/5B-NRZI, 80% mejor que Manchester

1000Base-SX

1000 Mbits /s

FDDI

Multimodo.

Menos de 550 mts

8B10B NRZ

1000BaseLX

1000 Mbits /s

FDDI

Multimodo

Distancia < 10 km.

8B10B NRZ

10GBaseSR

10 Giga bits /s

FDDI

Distancia entre 26 y 82 m dependiendo del tipo de cable

 8B/10B

10GBase T

10 Giga Bits/s

Conectores RJ-45.cobre. La tecnología CAT 6

PAM 16

* Codificacion MANCHESTER (https://es.wikipedia.org/wiki/Codificaci%C3%B3n_Manchester)



Para la negociación se establece una serie de prioridades en la cuales existen unos modos más prioritarios que otros y el orden es el siguiente:

Componentes básicos de una red LAN


Computadores (Hosts): Son quienes inician y procesan la información proveniente de sus pares.

Componentes básicos de una red LAN

• Hub (Concentrador):

Permite conectar entre sí otros equipos y retransmite la información que recibe desde cualquiera de ellos a todos los demás.

Switch (Conmutador):

Un switch entrega datos de acuerdo a la dirección de destino.

NORMAS T568A Y T568B (son para armar un cable de punto a punto en la red)

La idea original en el cableado de conectores modulares, que se ve ejemplificado en los RJ-45, fue que el primer par iría en las posiciones centrales, el siguiente par en las siguientes y así. También, el blindaje de la señal estaría optimizado alternando los pines de alimentación y tierra de cada par. Como se puede ver, las terminaciones T568B varían un poco de este concepto. Esa es la razón por la que el conector de 8 posiciones, da como resultado un pinout en que el par que está en los extremos está demasiado lejos para cumplir los requisitos eléctricos de los protocolos LAN de alta velocidad para quien lo usa. Por lo tanto para conexiones de 100Mbps o más, se debe de emplear el T568A.

  1. Comprobar la posición en la que conectaremos cada hilo del cable. El código de colores de cableado está regulado por la norma T568A o T568B, aunque se recomienda y se usa casi siempre la primera, aunque se usa de forma mas frecuente la norma T568B. El citado código es el siguiente:

Contacto T568A (recomendado) T568B
1
Blanco/verde Blanco/naranja
2
Verde Naranja
3
Blanco/naranja Blanco/verde
4
Azul Azul
5
Blanco/azul Blanco/azul
6
Naranja Verde
7
Blanco/marrón Blanco/marrón
8
Marrón Marrón

     

Nótese que la única diferencia entre T568A y T568B es que los pares 1, 2, 3 y 6 (Naranja y Verde) están alternados. Ambos estándares conectan los cables "directamente", es decir, los pines 1 a 8 de cada extremo se conectan con los pines 1 a 8, respectivamente, en el otro. Los pares de cables están emparejados en ambos estándares: pines 1-2, 3- 6, 4-5 y 7-8. Y aunque muchos cables implementan pequeñas diferencias eléctricas entre cables, estos efectos son inapreciables, de manera que los cables que utilicen cualquier estándar son intercambiables.

Además esta norma debe ser utilizada para impedir la interferencia por señales electromagnéticas generadas por cada hilo, de manera que pueda aprovechar el cable a una mayor longitud sin afectar en su rendimiento, es decir a la mayor velocidad; por eso los cables de red deben ser resistentes a la interferencia externa, tales como las ondas electromagnéticas de impresoras, monitores, teléfonos, unidades de aire acondicionado u otros equipos eléctricos. Tal interferencia distorsiona la señal transmitida, ocasionando errores.

Por eso también además se catalogan las conexiones bajo las categorías Cat 5, (abajo de 100Mbps) y Cat 6 (arriba de 100Mbps); aunque ambos estándares de conexión de los pines, T568A y T568B, se utilizan para Cat 5 y para Cat 6, en ambos se utilizan los pares trenzados del cable para reducir las interferencias, pero el T568A tiene una mayor inmunidad; sin olvidar que el cable Cat 6 utiliza un mejor aislamiento y más vueltas del aislante.

Otra fuente importante de interferencia es la señal de los otros hilos, adicional a utilizar la conexión de los pines T568A, el cable Cat 6 reduce esta interferencia separando los pares de cables con una tablilla de plástico que recorre toda la longitud del cable; pero en el conector Cat 6 tipo RJ-45, hay una especie de plantilla plástica para evitar el contacto de los cables dentro del conector, pero hay que tener cuidado de desentorchar lo mínimo posible los pares, (el cable), además de quitar el mínimo de forro/aislante necesario/posible.

ES NECESARIO E IMPORTANTE QUE SE REALICE LA CONEXION DE CABLEADO CON ALGUN ESTANDARD PARA SIMPLIFICAR LA INSTALACION / REPARACION DEL CABLEADO.

Video de como realizar un "Ponchado" de cable UTP cat 5 y 5E. Posteriormente debemos de realizar pruebas de conectividad usando un dispositivo de prueba puede o no realizarse pero es muy conveniente hacerlo el instructor te mostrara la forma de hacerlo.

Realiza el cuestionario de esta seccion


Software de emulación CISCO Packet Tracer

Este software podras aprender a configurar routers y switchs y realizar interconexiones entre diferentes dispositivos de red , computadoras, tablets, smarthphone, etc.

Packet Tracer es una emocionante herramienta de diseño, simulación y modelado de redes que le permite desarrollar su conjunto de habilidades en redes, seguridad cibernética e Internet de las cosas (IoT). Le permite modelar sistemas complejos sin la necesidad de equipos dedicados. Se utiliza en numerosos cursos de Cisco Academy para ayudar a desarrollar y evaluar el conjunto de habilidades necesarias para completar con éxito el curso.

Los estudiantes comúnmente usan Packet Tracer para:

Prepararse para un examen de certificación.

Practica lo que aprenden en cursos de networking.

Afina sus habilidades para una entrevista de trabajo.

Examine el impacto de agregar nuevas tecnologías a los diseños de red existentes.

Desarrollar sus habilidades para puestos de trabajo en el Internet de las cosas.

Packet Tracer es una herramienta de aprendizaje esencial utilizada en muchos cursos de Cisco Networking Academy.

Packet Tracer es una herramienta que te permite simular redes reales. Proporciona tres menús principales que le permiten:

Añada dispositivos y conéctelos a través de cables o inalámbricos.

Seleccione, elimine, inspeccione, etiquete y agrupe componentes dentro de su red gestiona tu red

El menú de gestión de red le permite:

abrir una red existente / de muestra guarda tu red actual modifica tu perfil de usuario o tus preferencias

Proporciona tres menús principales que le permiten:


Añada dispositivos y conéctelos a través de cables o inalámbricos.

Seleccione, elimine, inspeccione, etiquete y agrupe componentes dentro de su red gestiona tu red

El menú de gestión de red le permite:

abrir una red existente / de muestra

guarda tu red actual

modifica tu perfil de usuario o tus preferencias



para poder usar este software es necesario registrarse en la pagina de cisco, donde deberemos de registrarnos: para acceder a este software usemos este link https://www.netacad.com/es/courses/packet-tracer
vease  en la siguiente imagen las instrucciones para la inscripcion y descargha del programa.



Al hacer clic en (Inscribase para descargar Packet Tracer) a lo nos llevara a lo siguiente:



Lo cual le llevara a un formulario donde requiere que introduscas un correo electronico y una contraseña para acceso al programa (software), registrando esto en el correo se recibira una confirmacion temiendo esto se procede a descargar el software y su utilizacion. Cuando se recibe el correo hay que hacer clic en Confirmar dirección de correo electrónico



Al descargar e instalar el programa se solicitara el correo electrónico y la contraseña que se asignaron al registrarse, con ello iniciara el programa




Al escribir el correo electrónico que fue registrado el programa y la contraseña que se le asigno, pasara a la siguiente pantalla donde sera el área de trabajo de Cisco Packet Tracer.

Realiza el cuestionario

La siguiente imagen es la pantalla inicial de trabajo, el área en blanco es la sección donde se va utilizar para realizar la simulación de las redes.


Introducción a Packet Tracer

Packet Tracer es una herramienta de diseño, simulación y modelado de redes que le permite desarrollar su conjunto de habilidades en redes, seguridad cibernética e Internet de las cosas (IoT). Le permite modelar sistemas complejos sin la necesidad de equipos dedicados. Se utiliza en numerosos cursos de Cisco Academy para ayudar a desarrollar y evaluar el conjunto de habilidades necesarias para completar con éxito el curso.

Cisco Packet Tracer es una herramienta de simulación y visualización de redes. Este software gratuito le ayuda a practicar sus habilidades de configuración de red y solución de problemas a través de su computadora de escritorio o un dispositivo móvil con Android o iOS. Packet Tracer está disponible para los entornos de escritorio de Linux y Windows.

Con Packet Tracer puede elegir construir una red desde cero, usar una red de muestra preconstruida o completar las tareas de laboratorio en el aula. Packet Tracer le permite explorar fácilmente cómo los datos atraviesan su red.

Se presenta la interfaz de usuario y proporciona orientación sobre cómo crear una red simple con Packet Tracer.

Proporciona tres menús principales que le permiten:

El menú de gestión de red le permite:

abrir una red existente / de muestra guarda tu red actual

modifica tu perfil de usuario o tus preferencias

Si ha utilizado algún programa como un procesador de textos o una hoja de cálculo, ya está familiarizado con los comandos del menú Archivo que se encuentran en la barra de menú superior. Los comandos Abrir, Guardar, Guardar como y Salir funcionan como lo harían con cualquier programa, pero hay dos comandos que son especiales para Packet Tracer.

El comando Abrir muestras mostrará un directorio de ejemplos preconstruidos de características y configuraciones de varios dispositivos de red e Internet de las cosas incluidas en Packet Tracer.

El comando Salir y cerrar sesión eliminará la información de registro para esta copia de Packet Tracer y requerirá que el siguiente usuario de esta copia de Packet Tracer vuelva a realizar el procedimiento de inicio de sesión.

Packet Tracer - Encontrar e implementar dispositivos

Dado que Packet Tracer simula redes y tráfico de red, los aspectos físicos de estas redes también deben simularse. Esto incluye encontrar y desplegar dispositivos físicos, personalizarlos y cablearlos. Una vez realizada la instalación física y el cableado, es hora de configurar las interfaces utilizadas para conectar los dispositivos.

Encontrar un dispositivo para implementar requiere buscar en el Cuadro de selección de tipo de dispositivo. El Cuadro de selección de tipo de dispositivo funciona según el concepto de categorías y subcategorías, como se muestra en la figura.

La fila superior de iconos representa la lista de categorías que consta de:

[Networking Devices], [End Devices], [Components], [Connections], [Miscellaneous],  [Multiuser]

[Dispositivos de red], [Dispositivos finales], [Componentes], [Conexiones], [Varios]  [Multiusuario]

Cada categoría contiene al menos un grupo de subcategoría.

Revisar el siguiente video para mejor comprensión "seleccionar dispositivos"

En esta actividad, abrirá un archivo de muestra, localizará e implementará varios dispositivos y luego guardará el archivo.

Paso 1: Descargue el archivo aquí  Deploying_Devices.pkt. y guardarlo en algún directorio donde lo puedas localizarlo fácilmente.

Haga doble clic en el archivo Deploying_Devices.pkt para abrirlo, o en la barra inferior del navegador (Google Chrome) . Debe presentarte una pantalla similar a lo que se muestra en la figura.


Implementar dispositivos en Packet Tracer

1. Una lista de etiquetas de dispositivos es visible en el área de trabajo, usaremos varios métodos para implementar los dispositivos listados.

a. Primero ubique el enrutador (o router) 2811 en el cuadro de selección específico del dispositivo que se muestra a continuación.

b. Segundo. Con el mouse, haga clic en el enrutador (router) 2811 y, mientras mantiene presionado el botón del mouse, mueva el ratón (mouse) enrutador sobre la etiqueta del enrutador 0, luego suelte.

c. Ahora haga clic en el enrutador 1841 en el cuadro de selección específico del dispositivo y luego haga clic en la etiqueta Router1 en el espacio de trabajo.

d. Use cualquiera de los métodos en los puntos A o B para colocar un enrutador 2901 en el área de trabajo

Consejo # 1

Si desea colocar varios dispositivos del mismo tipo en el área de trabajo, haga clic y arrastre puede llegar a ser muy tedioso. Para evitar esto, mantenga presionada la tecla <CTRL> mientras hace clic en el dispositivo en el cuadro de selección específico del dispositivo.

Mantenga presionada la tecla <CTRL> y haga clic en el enrutador 2911 en el cuadro de selección específico del dispositivo. Ahora haga clic en las etiquetas Router3, Router4 y Router5. Para cancelar la operación, haga clic en el Símbolo  de cancelación donde el enrutador 2911 estaba en el cuadro de selección específico del dispositivo.



  Seleccionamos este router, copiamos el Router 1.


Y colocar en la etiqueta (Copy of Router 1) terminado con Crtl + V. (o bien con el menú edit Paste)


terminamos el resto de las etiquetas


  Ahora guarda este ejercicio como Deploying_Devices_1.pkt



Implementación y cableado de dispositivos

Objetivo

Dispositivos de red de despliegue y cable

En este archivo de actividades, localizará, desplegará y conectará varios tipos de dispositivos. Descargar el archivo Packet Tracer Deploying_Cabling_Devices.pkt. y guardarlo en algún directorio donde lo puedas localizarlo fácilmente.

Paso 1: Abra el archivo Packet Tracer de dispositivos de despliegue y cableado (Deploying_Cabling_Devices.pkt).

Haga doble clic en el archivo Deploying_Cabling_Devices.pkt en la barra de Google Chrome para abrirlo. Se le debe presentar una pantalla similar a la que se muestra en la figura.

Paso 2: Implementar dispositivos y cablearlos en Packet Tracer.
1. La primera tarea en esta actividad es practicar el uso del Cuadro de selección de tipo de dispositivo. (tal como se realizo en la actividad anterior).



2.- La fila superior de iconos representa categorías de dispositivos y la fila inferior representa subcategorias Apunte hacia la fila superior de iconos lentamente y observe el cuadro de etiqueta entre las filas, aparecerán los nombres de las categorías. Ahora apunte a los iconos de la fila inferior y verá sus los nombres. En esta actividad desplegaremos Switches y PCs. Apunta a los iconos de la fila inferior hasta que veas uno Switch etiquetados. Haga clic en ese icono y verá los dispositivos en el dispositivo específico.


Ahora muestra los Switch disponibles en Packet Tracer. Por favor despliegue dos switchs 2960 (si usted no recuerda cómo, revise la actividad anterior) sobre las etiquetas Switch0 y Switch1 en el espacio de trabajo.

2. Ahora haga clic en la categoría Dispositivo final (End Device) en el Cuadro de selección de tipo de dispositivo e implemente seis PC.

En el cuadro de selección y observe el área de etiqueta debajo de los dispositivos, debería decir PC-PT (recuerde que no tiene que seleccionar el ícono de la PC seis veces para implementarlos, hay un acceso directo). Tu El espacio de trabajo ahora debería verse así.



3. Ahora vamos a conectar las PC a los switchs.

Haga clic en la categoría que parece un rayo etiquetado como Conexiones. En el dispositivo específico en el cuadro de selección, aparecerán una serie de tipos de cables, seleccione el cobre directo tipo de cable.

Ahora apunta al centro de PC0 y haz clic en él. Verás un menú emergente mostrando los tipos de conexión de cable. Señala y haz clic en la selección FastEthernet0. Ahora un cable aparecerá anclado a la PC. Apunta a Switch0, y haz clic en él.


Otro menú emergente aparece con un conjunto mucho más grande de selecciones, señala y haz clic en la selección FastEthernet0/1.

Ahora se conectará el cable y aparecerán dos luces de enlace parpadeantes: una verde y una ámbar. Después de un tiempo, la luz ámbar se volverá verde (significa que se conectaron ambos dispositivos).

Vamos a cablear las seis PC a los switchs
Seleccione el cable cada vez. Este es el set de conexiones a realizar.

PC1 FastEthernet0 al Switch0 FastEthernet0/2
PC2 FastEthernet0 al Switch0 FastEthernet0/3


PC3 FastEthernet0 al Switch1 FastEthernet0/1
PC4 FastEthernet0 al Switch1 FastEthernet0/2
PC5 FastEthernet0 al Switch1 FastEthernet0/3


Ahora necesitamos un tipo diferente de cable para conectar los dos Switchs.

Seleccione un cable de cobre cruzado.  (Cross - Over) Haga clic en él y luego apunte a y haga clic en Switch0.

Desde el menú emergente, seleccione la interfaz Gigabit0/1 cerca de la parte inferior de la lista. Luego apunta y haz clic Switch1 y seleccione la misma interfaz de esta lista. Aparecerá el cable y ambas luces de enlace, será ámbar, pero eventualmente se volverá verde después de aproximadamente un minuto.




Si su área de trabajo se parece a la imagen anterior, guarde el archivo (como Deploying_Cabling_Devices_1.pkt) y salga de Packet Tracer. Si no lo hace es posible que desee probar la actividad de nuevo para practicar.

Antes de continuar debemos conocer y aprender a usar los protocolos IP.

El protocolo de IP (Internet Protocol) es la base fundamental de la Internet. Porta datagramas de la fuente al destino. El nivel de transporte parte el flujo de datos en datagramas. Durante su transmisión se puede partir un datagrama en fragmentos que se montan de nuevo en el destino. Las principales características de este protocolo son:

El Protocolo Internet proporciona un servicio de distribución de paquetes de información orientado a no conexión de manera no fiable. La orientación a no conexión significa que los paquetes de información, que será emitido a la red, son tratados independientemente, pudiendo viajar por diferentes trayectorias para llegar a su destino. El término no fiable significa más que nada que no se garantiza la recepción del paquete.
La unidad de información intercambiada por IP es denominada datagrama. Tomando como analogía los marcos intercambiados por una red física los datagramas contienen un encabezado y una área de datos. IP no especifica el contenido del área de datos, ésta será utilizada arbitrariamente por el protocolo de transporte.

Para que en una red dos computadoras puedan comunicarse entre sí ellas deben estar identificadas con precisión Este identificador puede estar definido en niveles bajos (identificador físico) o en niveles altos (identificador lógico) dependiendo del protocolo utilizado. TCP/IP utiliza un identificador denominado dirección internet o dirección IP, cuya longitud es de 32 bits. La dirección IP identifica tanto a la red a la que pertenece una computadora como a ella misma dentro de dicha red.

Tomando tal cual está definida una dirección IP podría surgir la duda de cómo identificar qué parte de la dirección identifica a la red y qué parte al nodo en dicha red. Lo anterior se resuelve mediante la definición de las "Clases de Direcciones IP". Para clarificar lo anterior veamos que una red con dirección clase A queda precisamente definida con el primer octeto de la dirección, la clase B con los dos primeros y la C con los tres primeros octetos. Los octetos restantes definen los nodos en la red específica.

TCP/IP

Ese protocolo que había sido desarrollado inicialmente por el un departamento de defensa americano  llamado DARPA y se llamaba TCPIP.

El protocolo se desarrolló en plena guerra fría, pensando que el malvado enemigo podía volarnos de un bombazo, cualquiera de los centros neurálgicos de una red de mando. Si poníamos muchos centros de mando, al enemigo le bastaba con fabricar muchas bombas para dejarte sin centro de mando (Y era mucho más barato fabricar más bombas que más centros de mando)

La solución fue…. Que no hubiera un centro físico de mando y que cualquier nodo pudiera convertirse en uno. Por ello desarrollaron una red entre iguales, que podía adaptarse, aun si nos volaban medio país.

El resultado ha sido, que este diseño sin centro de poder, se presta de mil maravillas a la Internet moderna, y es un concepto clave, para entender porque ha podido crecer tanto y tan rápido; Gracias a que los militares desarrollaron las tecnologías precisas para esta contingencia… sin saberlo y con otro objetivo.

En pocos años TCPIP, barrió del mercado a las demás ofertas y hoy es la norma indiscutible de comunicaciones en redes LAN y WAN, a pesar de los denodados esfuerzos de algunas marcas por impedirlo.

TCPIP viene de Transport Control Protocol / Internet Protocol, y está formado por digamos dos partes, el protocolo de transporte o TCP y el protocolo de Internet o IP.  Si revisas cualquier manual al respecto os hablara inmediatamente de  los 7 niveles OSI de comunicaciones.

Lo importante es que tengáis la idea de que en TCPIP hay una parte que se encarga del transporte, un poco como el servicio postal, y otra parte que se encarga de dar sentido a los datos que recibes. Vamos con los detalles.

Como a priori, no sabemos la longitud del mensaje que se va a enviar de un punto a otro, se montó un sistema de transporte de paquetes. Esto es, los mensajes se recortan, en paquetes de tamaño fijo , se les añade cabeceras con la dirección de destino (De hecho, varias), el remitente, el número de paquetes que conforman el envío y varias cosas más propias de la gestión interna del protocolo de transporte.

Cuando envías un mensaje a través de la red Ethernet,  tus datos se encapsulan con cabeceras y colas para gestionar el envío y recepción de la información. Si además el protocolo de transporte es TCP, este añadirá sus propias cabeceras, con información pertinente, El IP repite la jugada y el Router Añade aún más envoltorios.

Afortunadamente el empaquetado y desempaquetado es automático y el usuario no llega ni a enterarse y aunque pudiera parecer que es un sistema que añade mucha sobrecarga al tráfico, la experiencia ha demostrado que es un sistema extraordinariamente eficaz, para transmitir información de forma confiable.

De ese modo si quieres enviar un sencillo email puede bastar con un paquete, pero si envías un vídeo  puedes requerir miles de ellos. Por eso el protocolo TCP dispone de las herramientas precisas para:

Pero cuando recibes el mensaje original, necesitas saber  qué hacer con él. De esto se encarga IP (Y los últimos niveles OSI).

La idea básica, es un poco como el teléfono, que te garantiza que puedes hablar con Japón, basta con marcar el número. Pero, sorprendentemente, no te garantiza, que vayas a entender lo que te dicen. Son los protocolos de alto nivel IP, los que reconocen la norma del mensaje, el idioma, y te lo traducen a un modo que sea comprensible para ti.

Por supuesto solo son capaces de traducir un conjunto previamente pactado de protocolos, entre los que están:

  1. HTTP, o Hyper Text Transfer Protocol, que seguro que os resulta familiar. Es una norma de presentación a base de un lenguaje llamado HTML ( Hyper Text Mark Up Lenguaje) que forma la base de la actual Internet.

  2. HTTPS, lo mismo pero con un protocolo cifrado para asegurar la privacidad del intercambio de información (La S de HTTPS es de Secure)

  3. FTP o File Transfer Protocol, Protocolo de transferencia de ficheros, para intercambiar ficheros entre dos puntos, aunque cada día se usa menos, porque el HTTP incluye un protocolo similar.

  4. Protocolos adicionales estándard, de los que la mayor parte de los usuarios no son conscientes, pero que resultan vitales para el funcionamiento correcto del sistema, como DNS, DHCP, routing y similares, y otros menos conocidos fuera del mundo Linux como UDP,RCP o NFS.

Para poder realizar todas estas funciones, cada uno de los nodos que se conectan a una red TCPIP debe cumplir con algunas normas.

La primera es que para acceder a TCP, tu adaptador de red tiene que tener un identificador único llamado dirección MAC, (Media Acces Control) que normalmente viene fijado en el hardware.

La segunda para acceder a una red IP, es tener una dirección IP única, de la forma A.B.C.D más una máscara de subred, que determina con quien puedes y no puedes hablar, y que de paso permite compartir el mismo cable e infraestructura de red a varias redes sin que se mezclen entre sí.

Las redes IP estan clasificadas como A B C D, a continuación se explican

 En términos generales, el sistema de direccionamiento IPv4 se divide en cinco clases de direcciones IP. Todas las cinco clases son identificados por el primer octeto de la dirección IP. cada clase permite 1111 número limitado de direcciones de red y de hiost. Las redes de clase A permiten definir hasta 126 redes y una cantidad ilimitada de host, mientras que las redes de clase C definen una cantidad casi ilimitada de redes pero solo 255 host por red. Cuando se instalan los servicios TCP/IP también será necesario especificar la mascara de subred, la cual identifica la parte del identificador de host de la dirección basada en la clase de red.

CLASE A: El primer byte es un número del 1 al 127. Los últimos 3 bytes identifican host en la red. La mascara de la subred 255.0.0.0

CLASE B: El primer byte es un número del 128 al 191. El segundo bytes es parte de la dirección de red. el 3 y 4 bytes solo identifican host en la red. Mascara de subred: 255.255.0.0 '

CLASE C: EL primer byte es un número de 192 al 254. El segundo y tercer byte son parte de la dirección de red, el 4 byte solo identifica hasta 255 host. Mascara de subred 255.255.255.0.

Clase

Rango

N° de Redes

N° de Host Por Red

Máscara de red

Broadcast ID

A

0.0.0.0 - 127.255.255.255

128

16  777 214

255.0.0.0

x.255.255.255

B

128.0.0.0 - 191.255.255.255

16  384

65  534

255.255.0.0

x.x.255.255

C

192.0.0.0 - 223.255.255.255

2  097 152

254

255.255.255.0

x.x.x.255

(D)

224.0.0.0 - 239.255.255.255

histórico

 

 

 

(E)

240.0.0.0 - 255.255.255.255

histórico

 

 

 

 

• La dirección 0.0.0.0 es reservada por la IANA para identificación local.

• La dirección que tiene los bits de host iguales a cero sirve para definir la red en la que se ubica. Se denomina dirección de red.

• La dirección que tiene los bits correspondientes a host iguales a 255, sirve para enviar paquetes a todos los hosts de la red en la que se ubica. Se denomina dirección de broadcast.

• Las direcciones 127.x.x.x se reservan para designar la propia máquina. Se denomina dirección de bucle local o loopback. Direcciones privadas Existen ciertas direcciones en cada clase de dirección IP que no están asignadas y que se denominan direcciones privadas.

Las direcciones privadas pueden ser utilizadas por los hosts que usan traducción de dirección de red (NAT) para conectarse a una red pública o por los hosts que no se conectan a Internet. En una misma red no pueden existir dos direcciones iguales, pero sí se pueden repetir en dos redes privadas que no tengan conexión entre sí o que se conecten mediante el protocolo NAT.

Las direcciones privadas son:

• Clase A: 10.0.0.0 a 10.255.255.255 (8 bits red, 24 bits hosts).

• Clase B: 172.16.0.0 a 172.31.255.255 (12 bits red, 16 bits hosts). 16 redes clase B contiguas, uso en universidades y grandes compañías.

• Clase C: 192.168.0.0 a 192.168.255.255 (16 bits red, 16 bits hosts). 256 redes clase C continuas, uso de compañías medias y pequeñas además de pequeños proveedores de internet (ISP). Muchas aplicaciones requieren conectividad dentro de una sola red, y no necesitan conectividad externa. En las redes de gran tamaño a menudo se usa TCP/IP. Por ejemplo, los bancos pueden utilizar TCP/IP para conectar los cajeros automáticos que no se conectan a la red pública, de manera que las direcciones privadas son ideales para estas circunstancias. Las direcciones privadas también se pueden utilizar en una red en la que no hay suficientes direcciones públicas disponibles. Las direcciones privadas se pueden utilizar junto con un servidor de traducción de direcciones de red (NAT) para suministrar conectividad a todos los hosts de una red que tiene relativamente pocas direcciones públicas disponibles. Según lo acordado, cualquier tráfico que posea una dirección destino dentro de uno de los intervalos de direcciones privadas no se enrutará a través de Internet.

Mascara de Subred

Una mascara de subred es el principal modo en que TCP/IP limita el número de posibles direcciones con que tenga que tratar una máquina en un momento dado. La máscara de red es una manera de enmascarar o esconder unas partes de la red de otras.
La máscara de red para su dirección determina cuántos de los números que componen la dirección IP serán vistos en realidad por otras máquinas como una dirección local de la red.
Por eso es importante que las computadoras en una misma parte local de la red usen la misma máscara de subred.

Corporación de Internet para Nombres y Números Asignados es la encargada de asignar las direcciones IP.

El primer octeto se refiere aquí es la más a la izquierda de todos. Los octetos numerados de la siguiente manera mostrando notación decimal con puntos de las direcciones IP:


El número de redes y la cantidad de hosts por clase puede ser obtenida mediante esta fórmula:



Al calcular las direcciones IP hosts, 2 direcciones IP han disminuido debido a que no pueden ser asignados a los hosts, es decir, el primer IP de una red es número de red IP y la última es reservado para IP de difusión.

Dirección de Clase A

El primer bit del primer octeto siempre se establece en 0 (cero). Por lo tanto, el primer octeto varía de 1 - 127, es decir


Las direcciones de Clase A sólo incluyen IP a partir del 1.x.x.x a 126.x.x.x solamente. El rango de IP 127.x.x.x se reservan para las direcciones IP de loopback.


La máscara de subred predeterminada para la clase de dirección IP es 255.0.0.0 que implica que la clase A aborda las redes que pueden tener 126  y 16777214 hosts, es decir 1.0.0.0. 1.0.0.1 1.0.0.2  1.255.255.0- - - - 126.0.0.0 126.0.0.1 126.0.0.0 -> 126.255.255.0


Dirección IP de Clase A formato es así: 0NNNNNNN.HHHHHHHH.HHHHHHHH.HHHHHHHH

Dirección de Clase B


Una dirección IP a la cual pertenece a la clase B tiene los dos primeros bits del primer octeto de 10, es decir


Las direcciones IP Clase C de 192.0.0.x a 192.255.255.x. La máscara de subred predeterminada de la Clase C es 255.255.255.x.


2097152 La Clase C (221) direcciones de red y 254 las direcciones de host.


Dirección IP de Clase C formato: 110NNNNN.NNNNNNNN.NNNNNNNN.HHHHHHHH

Dirección de Clase D

Los cuatro primeros bits del primer octeto de la en la Clase D las direcciones IP se establece en 1110, dando una serie de:


Clase D  tiene la dirección IP 224.0.0.0 a 239.255.255.255 de. Clase D es reservado para la multidifusión. Los datos de la multidifusión no está destinado para un host en particular, por eso no hay necesidad de extraer direcciones de host de la dirección IP, y la clase D no tiene ninguna máscara de subred.

Dirección clase E

Esta clase IP está reservado para fines experimentales sólo para R&D o estudio. Las direcciones IP de esta clase va de 240.0.0.0 a 255.255.255.254 . Como Clase D, también esta clase no está equipada con máscara de subred.

IPv4 - Subredes

Cada clase IP está equipado con su propia máscara de subred predeterminada que límites que IP clase a se han prefijado número de redes y prefijo número de hosts por red. Direccionamiento IP Con Clase no proporciona ninguna flexibilidad de tener menos cantidad de hosts por red o más redes IP por clase.

O CIDR Enrutamiento entre dominios sin clase proporciona la flexibilidad de pidiendo prestados bits de parte del Host de la dirección IP que utiliza como Red en la red, denominada subred. Mediante la divisi n en subredes, una única dirección IP de Clase A se puede utilizar para pequeños sub-redes que proporciona una mejor las capacidades de gestión de red.

Clase A Las subredes

En la Clase A, el primer octeto sólo se utiliza como identificador de red y el resto de tres octetos que se utilizan para ser asignados a los hosts (es decir 16777214 Hosts por Red). Para hacer más subred de Clase A, bits de parte del Host son tomados y se cambia la máscara de subred en consecuencia.

Por ejemplo, si una MSB (Most Significant Bit) es tomada de los bits de host de segundo octeto y agrega a la red dirección, crea dos subredes (21=2) con (223-2) 8388606 Hosts por subred.

Se cambia la máscara de subred para reflejar la división en subredes. A continuación se muestra una lista de todas las posibles combinaciones de clase UN subredes:


En el caso de las subredes, la primera y la última dirección IP de cada subred se utiliza para Número de subred y el broadcast de subred dirección IP, respectivamente. Debido a que estas dos direcciones IP no pueden ser asignados a los hosts, sub-compensación no puede ser aplicado por uso de más de 30 bits, Bits de la Red, que ofrece menos de dos hosts por subred.

Subredes Clase B

De forma predeterminada, el uso de redes con clase, 14 bits se utilizan como bits de Red (214)) 16384 Redes y (216-1) 65534 Hosts. Direcciones IP de Clase B se puede dividir en subredes del mismo modo que las direcciones de Clase A, pidiendo prestados bits de los bits de host. A continuación se recoge todas las posibles combinaciones de Clase B en subredes:


Subredes Clase C

Las direcciones IP Clase C normalmente se asignan a un tamaño muy pequeño red ya que sólo puede tener 254 hosts en una red. A continuación se muestra una lista de todas las posibles combinaciones de Clase B dividida en subredes IP address (Dirección IP):



Rango Octeto

Clase

Máscara de subred por defecto

Direccionamiento Privado

Notas

1-126 *

Clase A

255.0.0.0

10.x.x.x

Utilizado por empresas realmente de alto nivel con una gran cantidad de ordenadores

* 127.0.0.1

Loopback



Se utiliza para probar la conectividad IP a la libre

128-191

Clase B

255.255.0.0

172.16.x.x - 172.31.x.x

Utilizado por empresas más grandes, veo un montón de esto en las redes de nivel medio

192-223

Clase C

255.255.255.0

192.168.x.x - 192.168.255.x

Utilizado por las pequeñas empresas, oficinas domésticas, pequeñas redes domésticas

224-239

Clase D

n / a

n / a

Multicast Broadcast sólo

240-255

Clase E

n / a

n / a

Experimental: Reservado para uso futuro

¿Qué es "dirección privada?" cada clase tiene un conjunto independiente de las direcciones que se ha acordado son "no enrutable en Internet."

Esto es muy útil para los firewalls y NAT. No hay suficientes direcciones IP para repartir más. Por lo que tiene "IPs externas" (que son la mayoría de ellos), y "dentro" de IPs que son las direcciones privadas.

El más común se verá para el hogar y pequeñas redes de oficina son la variedad 192.168.x.x. Debido a que este rango de direcciones de clase C tiene una máscara por defecto 255.255.255.0, que realmente sólo puede tener 254 hosts por subred

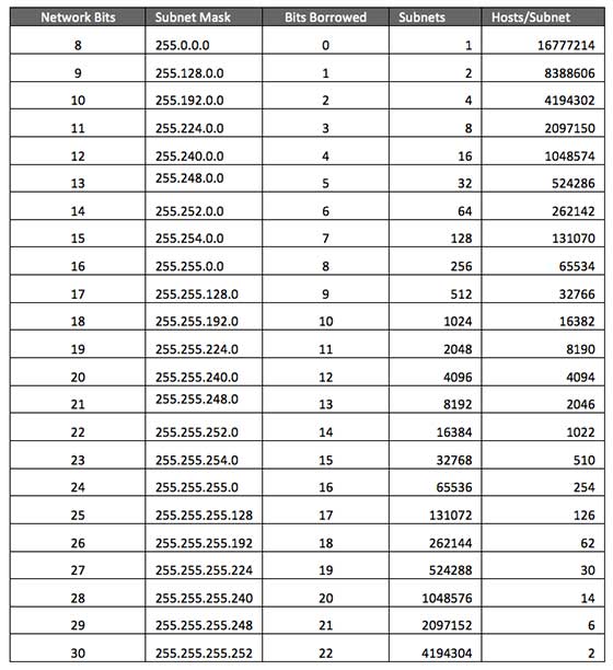
Determine la cantidad de bits que debe pedir prestado a la porción host. Utilice la siguiente ecuación: 2 n – 2 > = Número de subredes requeridas.

Así que, si se necesitan 25 subredes:

1.  2 N - 2> = 25

2.  usando N con valor de 5 : 2 5 - 2 = 30 se sobrepasa al valor buscado (25)

3.  usando N con valor de 3: 23-2 = 6  es muy inferior al valor buscado (25)

Si n = 4, 24 -2 =14  entonces habría sido 14, menos de 25.

Nota: En este punto, se debe conocer sobre capacidad de expansión. Si se va a necesitar más de 30 sub-redes en el futuro, debe ser uno más grande, al igual que 62 . Recuerde, las redes adicionales que tiene, los dominios que menos colisión tienen. Pero tenga en cuenta si tienes demasiados servidores todos trabajando en la misma subred (como más de 100 servidores que hablan a la vez), que se va a ralentizar su red.

Haga su máscara de subred personalizada. En primer lugar, es necesario determinar su máscara por defecto.

Suponemos que tiene la siguiente dirección:

192.168.35.x

En binario, que tiene este aspecto:

11000000.10101000.00100011.x

En cuanto a la máscara de subred por defecto:

255.255.255.0

Qué el equipo ve como:

11111111.11111111.11111111.00000000

Ahora desde n = 5 en el ejemplo anterior, sabemos que debemos tomar cinco bits, que se realiza de izquierda a derecha

255.255.255.248

Esto es más fácil de ver en binario:

11111111.11111111.11111111. 11111000


Cada "bit" de izquierda a derecha representa un factor de 2 alguna potencia. He aquí cómo descomponemos un octeto:

Potencia del:

2 7

2 6

2 5

2 4

2 3

2 2

2 1

2 0

Número Decimal

128

64

32

16

8

4

2

1

Número binario

1

1

1

1

1

0

0

0


Así que 5 bits seleccionados es realmente 128 + 64 + 32 + 16 + 8 = 248 (en decimal).

Descubra sus hosts por red.

En primer lugar, hay que determinar el número de hosts por subred. Este es mejor comprendido en binario:

Ahora, recuerde que su máscara por defecto.

255.255.255.248

Pero de nuevo, es más fácil ver en binario

11111111.11111111.11111111.11111 000

Desde el 11111111.11111111.11111111.11111xxx es la parte de red, a continuación, los bits restantes (que son ceros) son la porción hosts!

Olvídese decimal por ahora

Hosts

11111111.11111111.11111111.11111000


Puedo decir que sólo hay 3 bits que restan. Por eso, utilizamos una ecuación de aspecto familiar de nuevo para determinar la cantidad de hosts (cualquier cosa que necesite una dirección IP a la función) que tenemos para cada red.

2 n - 2> = Número de hosts por subred

Así pues, en este caso, 2 3 - 2 = 8 - 2 = 6 hosts por subred. eso no es mucho. Pero se tiene una dirección de clase C, y quería 25 redes.

Ahora podemos determinar los rangos de subred!

Hay un intervalo de incremento encontramos averiguar primero. Es:

256 - Máscara de subred = Intervalo

Así, en nuestro ejemplo, 256 - 248 = 8. Este también será el valor de la red más bajo

Subred

Dirección de subred

Dirección IP Primero utilizable

última dirección IP utilizable

Dirección de difusión

Primero

192.168.35.8

192.168.35.9

192.168.35.14

192.168.35.15

Segundo

192.168.35.16

192.168.35.17

192.168.35.22

192.168.35.23

Tercera

192.168.35.24

192.168.35.25

192.168.35.30

192.168.35.31

Cuarto

192.168.35.32

192.168.35.33

192.168.35.38

192.168.35.39

30a ...

192.168.35.240

192.168.35.241

192.168.35.246

192.168.35.247


Nótese que no usamos los 192.168.35.0 192.168.35.248 o redes. Por lo general, se descarta la primera y la última (que es por eso que hay sólo 30 en lugar de 32 disponibles). Esto tiene sentido ya que la primera tendría 192.168.35.0 como subred, cuando es realmente considerado como el nombre de una red entera. Y 192.168.35.248 tendría 192.168.35.255 como dirección de difusión de subred cuando debería ser la emisión por defecto para la red 192.168.35.0.

Como nota al margen, el número de hosts en caso de tener cada subred? Pues bien, la regla general es que no debe tener más de 254 hosts de la misma subred, ya que todos comparten el mismo dominio. La red se desacelerará a un rastreo con todo ese tráfico. Se debe tener en cuenta que una gran cantidad de tráfico no es sólo una máquina para acceder a Internet, una gran cantidad de servicios en constante enviará el tráfico de ida y vuelta.  Si se tienen 1.000 máquinas de la misma subent, incluso si las máquinas están ociosas, se dará cuenta de algunas máquinas comenzarán a disminuir a medida que el NIC o software intenta procesar todos los mensajes.

Una gran cantidad de personas que tienen redes / 24  para asegurarse de que esto no ocurra, que es de 254 hosts, y / 24 es de un octeto que es más fácil hacer cálculos rápidos. Firewalls y switches gestionados (como VLAN) se hará cargo de cualquier traducción de subred a subred.

IPv4 - VLSM (Variable Length Subnet Mask, máscaras de subred de tamaño variable)

Los Proveedores de Servicios de Internet pueden enfrentarse a una situación donde se deben asignar las subredes IP de diferentes tamaños, según las necesidades del cliente. Un cliente puede pedir subred de Clase C de 3 direcciones IP y otro puede pedir 10 IPs. Para un proveedor de servicios de Internet, no es posible dividir las direcciones IP en subredes tamaño fijo, y no es posible que desee a la subred las subredes de tal manera que los resultados en mínimo desperdicio de direcciones IP.

Por ejemplo, un administrador tiene red 192.168.1.0 /24. El sufijo /24 (pronunciado como "barra 24 ") indica el número de bits utilizados para dirección de red. En este ejemplo, el administrador tiene tres diferentes departamentos con diferente número de hosts. Departamento de Ventas cuenta con 100 computadoras, la compra departamento dispone de 50 ordenadores, Cuentas tiene 25 equipos y Gestión tiene 5 ordenadores. En CIDR, las subredes son de tamaño fijo. Utilizando la misma metodología que el administrador no puede cumplir con todos los requisitos de la red.

El procedimiento siguiente se muestra cómo se puede usar VLSM para asignar departamento de direcciones IP como se mencionó en el ejemplo.

Paso - 1

Hacer una lista de subredes.


Paso - 2

Ordenar los requisitos de IPs en orden descendente (de mayor a menor).


    Ventas 100

    Adquirir 50

    25 Cuentas

    5 Gestión


Paso 3

Asignar la más alta gama de IPs a la más alta exigencia, por lo que vamos asignarle 192.168.1.0 /25 (255.255.255.128) en el departamento de ventas. Esta subred IP 192.168.1.0 con número de red dispone de 126 direcciones IP de host válidos que cumplan con el requisito del departamento de ventas. La máscara de subred que se utiliza para esta subred tiene 10000000 como el último octeto.

Paso - 4

Asignar la próxima gama más alta, por lo que vamos asignarle 192.168.1.128 /26 (255.255.255.192 ) en el departamento de compras. Esta subred IP 192.168.1.128 con número de red válido tiene 62 direcciones IP de Host que se pueden asignar fácilmente a todos los equipos de del departamento de compras. La máscara de subred que se utiliza tiene 11000000 en el último octeto.

Paso - 5

Asigne el siguiente rango más alto, es decir, las cuentas. El requisito de 25 IPs puede ser cumplido con 192.168.1.192 /27 (255.255.255.224) subred IP, que contiene 30 host IPs. El número de red del departamento de contabilidad será 192.168.1.192. El último octeto de máscara de subred es 11100000.

Paso - 6

Asigne el siguiente rango más alto en la administración. El departamento de gestión contiene sólo 5 equipos. La subred 192.168.1.224 /29 con la máscara 255.255.255.248 tiene exactamente 6 válida direcciones IP de host. Por lo tanto, esta puede ser asignado a la gestión. El último octeto de la máscara de subred contendrá 11111000.

Con VLSM, el administrador puede subred la subred IP de tal manera que un menor número de direcciones IP se desperdician. Incluso después de asignar IPs a cada departamento, el administrador, en este ejemplo, queda con un montón de direcciones IP, lo que no era posible si ha utilizado CIDR, ( lassless Inter-Domain Routing o CIDR en español «enrutamiento entre dominios sin clases»)

IPv4 - Direcciones Reservadas

Hay algunos reservados dirección IPv4 espacios que no pueden ser utilizadas en internet. Estas direcciones son especiales y no se puede pasar fuera de la Red de área Local.

Direcciones IP privadas
Cada una de las clases de direcciones IP, (A, B y C) tiene algunas direcciones reservadas como direcciones IP privadas. Estas IPs se puede utilizar dentro de una red, como en el campus, de la compañía y son privadas. Estas direcciones no se puede pasar en el Internet, para que los paquetes que contienen las direcciones privadas son eliminados por los routers.


Con el fin de comunicarse con el mundo exterior, estas direcciones IP debe tener para ser traducido a algunas direcciones IP públicas mediante proceso de NAT, o de un servidor Proxy Web se pueden utilizar.

El único propósito de crear una gama de direcciones privadas de asignación del control del ya limitado de direcciones ipv4. Mediante el uso de un rango de direcciones privadas de LAN, el requisito de direcciones IPv4 a nivel mundial ha disminuido significativamente. También ha ayudado a retrasar el agotamiento de las direcciones ipv4.

Clase IP, mientras que el uso de direcciones privadas, pueden ser elegidos como por el tamaño y las necesidades de la organización. Las organizaciones de mayor tamaño pueden elegir clase una dirección IP privada de la que las organizaciones más pequeñas pueden optar por clase C. Estas direcciones IP se pueden sub-goles y asignados a los departamentos dentro de una organización.

Responde al cuestionario

Direcciones IP de bucle

El rango de la dirección IP 127.0.0.0 - 127.255.255.255 es reservado para bucle, es decir, un Host de la dirección, también conocido como dirección localhost. Esta dirección IP de bucle es totalmente administrado por y dentro del sistema operativo. Las direcciones de loopback, permiten que el servidor y el cliente los procesos en un único sistema para comunicarse con los demás. Cuando un proceso crea un paquete con dirección de destino como dirección de bucle, el sistema operativo los bucles a si mismo sin tener ninguna interferencia de NIC.

Los datos que se envían a través de bucle es transmitida por el sistema operativo a una interfaz de red virtual de sistema operativo. Esta dirección se utiliza principalmente para propósitos de prueba como arquitectura cliente-servidor en una sola máquina. Aparte de eso, si una máquina host puede hacer ping 127.0.0.1 o cualquier rango IP de loopback, implica que la pila TCP/IP de la máquina se carga correctamente y en el trabajo.

Las direcciones locales de enlace

En el caso de que un host no es capaz de obtener una dirección IP del servidor de DHCP y que no se ha asignado ninguna dirección IP de forma manual, el host puede asignarse a sí mismo una dirección IP de un rango de direcciones de enlace local. Dirección de vínculo local oscila entre 169.254.0.0 - 169.254.255.255.

Supongamos que un segmento de la red en caso de que todos los sistemas están configurados para obtener las direcciones IP de un servidor DHCP conectados al mismo segmento de red. Si el servidor DHCP no está disponible, no en el segmento será capaz de comunicarse con cualquier otro. Windows (98 o superior), y Mac OS (8.0 o posterior) admite esta funcionalidad de auto-configuración de dirección IP local de enlace. En ausencia de servidor DHCP, cada máquina host elige al azar una dirección IP de la mencionada y, a continuación, comprueba para determinar por medio de la ARP, si algún otro host no ha configurado a sí mismo con la misma dirección IP. Una vez todos los hosts están utilizando las direcciones locales de enlace de la misma gama, se pueden comunicar con los demás.

Estas direcciones IP no sistema de ayuda para comunicarse cuando no pertenecen al mismo segmento físico o lógico. Estas IPs no son enrutables.

Flujo de paquetes en la red

Todos los hosts de IPv4 entorno lógico se asignan direcciones IP únicas. Cuando un host desea enviar datos a otro host en la red, se necesita la física (MAC) del host de destino. Para obtener la dirección MAC, el host transmite un mensaje ARP y pide dar una dirección MAC quien es el propietario de dirección IP de destino. Todos los hosts que se encuentran en el segmento recibir el paquete ARP, pero sólo el host tiene su IP coincide con la del mensaje ARP, responde con su dirección MAC. Una vez que el emisor recibe la dirección MAC de la estación receptora, los datos se envían en el soporte físico.

En el caso de que la IP no pertenece a la subred local, los datos se envían al destino por medio de la puerta de enlace de la subred. Para entender el flujo de paquetes, primero debemos entender los siguientes componentes:

    Dirección MAC: Dirección de Control de acceso a los medios es de 48bits codificados fábrica dirección física del dispositivo de red que sólo puede ser identificado. Esta dirección es asignada por los fabricantes de los dispositivos.

    Protocolo de resolución de direcciones: protocolo de resolución de direcciones se utilizan para adquirir la dirección MAC de un host cuya dirección IP se conoce. ARP es un paquete de broadcast que es recibido por todos los host en el segmento de red. Pero sólo el host cuya IP ARP es mencionado en el que responde a su dirección MAC.

    Servidor Proxy: Para tener acceso a la Internet, las redes utilizan un servidor proxy que tiene una dirección IP pública asignada. Todos los PCs pedir al servidor proxy para el servidor de Internet. El servidor proxy en nombre de la PC envía la solicitud al servidor y cuando se recibe una respuesta del servidor, el servidor Proxy envía al ordenador del cliente Esta es una manera de controlar el acceso a Internet en las redes de computadoras y que ayuda a implementar políticas basadas en la web.

    Protocolo de Control de Host Dinámico: DHCP es un servicio por el que un host se asigna una dirección IP del pre-definidos. Servidor DHCP también provee la información necesaria, como puerta de enlace IP, direcciones de servidores DNS, el arrendamiento con la IP asignada, etc. mediante servicios de DHCP, el administrador de la red puede administrar asignación de direcciones IP a gusto.

    Sistema de Nombres de Dominio: es muy probable que el usuario no conoce la dirección IP de un servidor remoto que quiere conectarse. Pero él sabe el nombre asignado a los mismos, por ejemplo, tutorialpoints.com. Cuando el usuario escribe el nombre de un servidor remoto que quiere conectarse, el localhost detrás de las pantallas envía una consulta DNS. Sistema de nombres de dominio es un método para obtener la dirección IP del host cuyo nombre de dominio es conocido.

    Traducción de direcciones de red: casi todos los ordenadores de una red de ordenadores se asignan direcciones IP privadas que no son enrutables en Internet. Tan pronto como un router recibe un paquete IP con una dirección IP privada, cae. Con el fin de obtener acceso a los servidores en los sectores público y privado, redes informáticas utilizar una dirección servicio de traducción, que se traduce entre lo público y lo privado, llamado Traducción de direcciones de red. Cuando un ordenador envía un paquete IP de una red privada, NAT cambia la dirección IP privada con dirección IP pública y viceversa.

Ahora podemos describir el flujo de paquetes. Supongamos que un usuario desea acceder a www.TutorialsPoint.com desde su ordenador personal. Ella tiene conexión a internet de su ISP. Los siguientes pasos serán tomadas por el sistema para ayudar a alcanzar el sitio web de destino.
Paso: 1 - Adquirir una dirección IP (DHCP)

Cuando el usuario de PC arranca, busca un servidor DHCP para obtener una dirección IP. De la misma, el equipo envía un broadcast DHCPDISCOVER que es recibida por uno o más servidores DHCP de la subred y que todas ellas responden con DHCPOFFER que incluye todos los detalles necesarios como, por ejemplo, IP, subred, puerta de enlace, DNS, etc. El PC envía paquete DHCPREQUEST para pedir la dirección IP. Por último, el DHCP envía paquete DHCPACK para decirle al PC que se puede seguir la IP de alguna cantidad de tiempo que se conoce como concesión de IP.

Alternativamente, un PC se puede asignar manualmente una dirección IP sin tener ningún tipo de ayuda de DHCP server. Cuando un equipo está bien configurado con detalles de la dirección IP, puede comunicar otras computadoras en todo el red IP.
Paso: 2 - Consulta DNS

Cuando un usuario abre un navegador web y tipos www.tutorialpoints.com que es un nombre de dominio y un PC no es entender cómo comunicarse con el servidor de nombres de dominio, entonces la PC envía una consulta DNS en la red, con el fin de obtener la dirección IP correspondiente al nombre de dominio. La pre-configurado servidor DNS responde a la consulta con la dirección IP del nombre de dominio especificado.
Paso: 3 - solicitud ARP

El equipo considera que la dirección IP de destino no pertenece a su propio rango de direcciones IP y se tiene que enviar la solicitud a la puerta de enlace. La puerta de enlace en este escenario puede ser un router o un servidor Proxy. Aunque la dirección IP del Gateway es conocido en el equipo del cliente pero los equipos no intercambiar datos sobre direcciones IP, sino que necesita la dirección hardware de la máquina que es Capa 2 fábrica dirección MAC codificada. Para obtener la dirección MAC de la puerta de enlace, el cliente PC emite una petición ARP diciendo "¿Quién posee esta dirección IP?" La puerta de enlace en respuesta a la ARP consulta envía su dirección MAC. Tras la recepción de la dirección MAC, el PC envía los paquetes a la puerta de enlace.

Un paquete IP tiene las direcciones de origen y de destino y se conecta al host con un host remoto lógicamente, mientras que las direcciones MAC sistemas de ayuda en un solo segmento de red para transferir datos reales. Es importante que direcciones MAC de origen y de destino cambian a medida que viajan a través de Internet (segmento por segmento) pero las direcciones IP de origen y destino nunca cambian.

IPv4 - Resumen

El Protocolo de Internet versión 4 fue diseñado para ser asignados a unos cuanto 4.3 millones de direcciones. Al principio de Internet lo que fue considerado como un espacio de direcciones mucho más amplio para el que no había nada de que preocuparse.


El repentino crecimiento de usuarios de internet y su uso generalizado ha incrementado exponencialmente el número de dispositivos que es real y única IP para poder comunicarse. Gradualmente, el IPS es requerido por casi cada equipo digital que se hicieron para facilitar la vida, tales como teléfonos móviles, coches y otros dispositivos electrónicos. El número de dispositivos (aparte de los ordenadores/routers) aumento de la demanda de direcciones IP adicionales, que no se han examinado anteriormente.


Asignación de IPv4 es administrado a nivel mundial por Internet Assigned Numbers Authority (IANA) en coordinación con la Internet Corporation for Assigned Names and Numbers (ICANN). IANA trabaja en estrecha colaboración con registros regionales de Internet, lo que a su vez son responsables de distribuir eficientemente las direcciones IP en sus territorios. Hay cinco RIRS. Según informes de IANA, todos los bloques de direcciones IPv4 se han asignado. Para hacer frente a la situación, las siguientes prácticas se llevaban a cabo:


    Direcciones IP privadas: unos pocos bloques de IPs fueron declarados para uso privado dentro de una LAN, para que el requisito de direcciones IP públicas puede ser reducido.


    NAT: la traducción de direcciones de red es un mecanismo por medio del cual varios PC/hosts con direcciones IP privadas están habilitados para acceder a ella mediante una o unas pocas direcciones IP públicas.


    IPs públicas sin utilizar eran reclamadas por rir. (Un Registro Regional de Internet, en inglés Regional Internet Registry (RIR), es una organización que supervisa la asignación y el registro de recursos de números de Internet dentro de una región particular del mundo.)


Protocolo Internet v6 (IPv6)

IETF (Internet Engineering Task Force) ha rediseñado las direcciones IP para atenuar los inconvenientes del IPv4. La nueva dirección IP es la versión 6, que es dirección de 128 bits, por lo que cada pulgada de la tierra puede ser dado a millones de direcciones IP.

Hoy la mayoría de dispositivos que se ejecutan en Internet están utilizando IPv4 y no es posible cambiar a IPv6 en los próximos días. Hay mecanismos previstos por el IPv6, por lo que IPv4 e IPv6 pueden co-existir a menos que la Internet cambia totalmente de IPv6:


    Doble pila IP

    Tunneling (6a4 y 4a6)

    NAT Traducción de protocolo

Para calcular las subredes se puede usar el siguiente sitio para el calculo de estas: calculadora

Configuración del dispositivo

Una vez que su red ha sido creada, es hora de configurar los dispositivos y componentes. Packet Tracer tiene la capacidad de configurar los diferentes dispositivos intermedios y finales que conforman su red. Para acceder a la interfaz de configuración de cualquier dispositivo, primero haga clic en el dispositivo que desea configurar. Aparecerá una ventana emergente mostrando una serie de pestañas. Diferentes tipos de dispositivos tienen diferentes interfaces.

En esta actividad construirá una red simple de Packet Tracer y completará la configuración básica de finalización dispositivos

Paso 1: Inicia Packet Tracer.

a. Inicie Packet Tracer en su PC
Haga doble clic en el icono de Packet Tracer en su escritorio Packet Tracer. Packet Tracer debería abrirse con un valor predeterminado en blanco.

Paso 2: construir la topología.

1. Cree la red que se muestra a continuación (si necesita ayuda, consulte las actividades anteriores).
a. Use el puerto FastEthernet0 / 1 en el switch para PC0
b. Use el puerto FastEthernet0 / 2 en el switch para PC1
c. Use el puerto FastEthernet0 / 3 en el switch para Server0

Una vez que las luces de enlace se vuelvan verdes, haga clic en Servidor0. Luego configúralo de la siguiente manera:

 a. Haga clic en la imagen del Servidor0.

 b. Haga clic en el icono de configuración de IP (Config -> INTERFACE -> FastEthernet0.


c. Haga clic en el cuadro de diálogo FastEthernet0 y  IP Address.

d. Escriba 192.168.1.1 como la dirección y presione enter.

e. Un valor predeterminado de 255.255.255.0 debería presentarse en la Máscara de subred.

 f. No es necesario configurar nada más en este cuadro de diálogo, así que haga clic en la "X" en la esquina superior derecha para cerrar la ventana de configuración de IP.

3. Haga clic en PC0. Luego configúralo de la siguiente manera:

a. Haga clic en elemento PC0.

b. Haga clic Config -> Interface -> FastEthernet0.

c. Haga clic en el cuadro de diálogo Adrress IP.

d. Escriba 192.168.1.2 como la dirección y presione enter.

e. Un valor predeterminado de 255.255.255.0 debe presentar en el campo Máscara de subred.

f. No es necesario configurar nada más en este cuadro de diálogo, así que haga clic en la "X" en la esquina superior derecha para cerrar la ventana de configuración de IP

g. Haga clic en el icono etiquetado Símbolo del sistema

Escriba el siguiente comando en el indicador:

ping a 192.168.1.1 y presione enter.


Si ha hecho todo correctamente, debería ver el siguiente resultado o muy similar.

Su salida puede variar un poco, pero las declaraciones de respuesta deben estar allí. Si las respuestas no están allí, intente rehacer el dispositivo configuración a este punto.

Haga clic en la "X" al lado de la barra de título del símbolo del sistema.

Repita los mismos pasos de configuración y ping desde  PC1, excepto que use 192.168.1.3 como la dirección IP.
Los resultados deben ser los mismos.






Por último, haga clic en PC0 otra vez.

a. Haga clic en la pestaña Escritorio, (Desktop) si aún no está abierta.

b. Haga clic en el icono del navegador web.

c. Escriba 192.168.1.1 en el cuadro de URL y haga clic en el botón [GO].

d. Debes observar lo siguiente. Si no lo hace, repita los pasos anteriores para confirmar configuración ( Esto sucede porque la función del servidor web está activada de forma predeterminada en el servidor y PC0 acaba de conectarse a la página por defecto)



La siguiente sección involucra una configuración básica de dispositivos de red, en este caso un switch. Los enrutadores (router) tienen la las mismas pestañas que los conmutadores (switch) para que su interfaz funcione de la misma manera.

Haga clic en Switch0, luego haga clic en la pestaña Config.


Nota: Anteriormente, se daba una advertencia acerca de no usar la pestaña Configuración, ya que no está disponible en equipo de red, pero estamos explicando esta pestaña por dos razones.

i. Algunos dispositivos simples solo tienen pestañas de configuración.

ii. La pestaña de configuración puede ser útil para el aprendizaje básico de comandos, especialmente para principiantes

Al hacer clic en la pestaña Configuración, se muestra una lista de componentes que se pueden configurar en este dispositivo.

La pestaña Configuración (config) global permite a un usuario cambiar el nombre de un dispositivo que se muestra en la espacio de trabajo.

También permite cambiar el nombre interno que se muestra en el comando line prompt como así como botones para guardar, cargar, exportar y borrar archivos de configuración.

1. Haga doble clic en el cuadro de diálogo Nombre de host (hostname) resaltando la palabra Cambiar, escriba Central y presione entrar.

Packet Tracer mostrará los comandos IOS necesarios para realizar el cambio de nombre en el cuadro de Comandos de IOS equivalente.

Los comandos mostrados deben ser:

Switch>enable

Switch#configure terminal

Enter configuration commands, one per line. End with CNTL/Z.

Switch(config)#hostname Central

Central(config)#

Estos serían los comandos que se introducirían para hacer lo mismo desde el interfaz de línea de comandos o CLI. Si no sabía cómo hacerlo desde el CLI, la pestaña de configuración mostraría los comandos para ilustrar cómo se debe hacer.

Al hacer clic en la etiqueta FastEthernet0 / 1 se mostrara una interfaz Ethernet para configurar.



Observe que el cuadro Comandos de IOS equivalente a continuación, muestra un comando de "interfaz" FastEthernet0/1 ”, que habría sido el comando utilizado para seleccionar la interfaz desde la CLI.

Seleccione la pestaña CLI para cambiar a la interfaz CLI. Note que los mismos comandos que estaban en el cuadro de Comandos de IOS equivalente se muestra en la ventana CLI.

Haga clic a la derecha al lado del símbolo del sistema en la parte inferior de la lista que se ve así:

Central (config-if) #

Luego escribe shutdown, y presiona enter dos veces

Este comando simplemente cierra la interfaz desde la línea de comandos

Haga clic en la "X" de fondo rojo en la esquina superior derecha para cerrar la ventana de la CLI . Observe cómo se enciende el enlace

Para la conexión entre PC0 y Switch0 son de color rojo. Desde que se cerró la interfaz en el interruptor

La conexión esta abajo ya no está activa y se muestra en rojo. (se dice que una conexión esta abajo cuando no existe comunicación entre este dispositivo y otros equipos)


Guarde su trabajo como shutdown_interface.pkt

Para continuar con este curso debemos aprender lo que se presenta como IP (Internet Protocol) que es la forma de conexion entre computadoras es un numero que representa a cada equipo en la red de internet, para ello comenzaremos conociendo como se aplica este numero (IP).

La dirección IP es un número que identifica, de manera lógica y jerárquica, a una Interfaz en la red (computadora, tableta, portátil, smartphone) que utilice el protocolo IP o (Internet Protocol), que corresponde al nivel de red del modelo TCP/IP. (El modelo TCP/IP es usado para comunicaciones en redes y, como todo protocolo, describe un conjunto de guías generales de operación para permitir que un equipo pueda comunicarse en una red. TCP/IP provee conectividad de extremo a extremo especificando cómo los datos deberían ser formateados, direccionados, transmitidos, enrutados y recibidos por el destinatario.) La dirección IP no debe confundirse con la dirección MAC, que es un identificador de 48 bits expresado en código hexadecimal, para identificar de forma única la tarjeta de red y no depende del protocolo de conexión utilizado en la red.

Los dispositivos se conectan entre sí mediante sus respectivas direcciones IP. Sin embargo, para las personas es más fácil recordar un nombre de dominio que los números de la dirección IP. Los servidores de nombres de dominio DNS, "traducen" el nombre de dominio en una dirección IP. Si la dirección IP dinámica cambia, es suficiente actualizar la información en el servidor DNS. El resto de las personas seguirán accediendo al dispositivo por el nombre de dominio.

TCP Y ETHERNET


Hay otras arquitecturas de protocolos

• La arquitectura OSI

• IBM con SNA tenía la suya (que inspiró OSI)

• También Apple

• Novell

• Digital

OSI


LAS TRAMAS EN LAS REDES

En redes, una trama es una unidad de envío de datos.

Es una serie sucesiva de bits, organizados en forma cíclica, que transportan información y que permiten en la recepción extraer esta información.

Viene a ser el equivalente de paquete de datos o Paquete de red, en el Nivel de red del modelo OSI.

Normalmente una trama constará de cabecera, datos y cola.

En la cola suele estar algún chequeo de errores usualmente llamado CRC (Circle Redundnce Check).

En la cabecera habrá campos de control de protocolo. La parte de datos es la que quiera transmitir en nivel de comunicación superior, típicamente el Nivel de red.

Para delimitar una trama se pueden emplear cuatro métodos, el tracker: por conteo de caracteres: al principio de la trama se pone el número de bytes que representa el principio y fin de las tramas. Habitualmente se emplean STX (Start of Transmission: ASCII #2) para empezar y ETX (End of Transmission: ASCII #3) para terminar.

Si se quieren transmitir datos arbitrarios se recurre a secuencias de escape para distinguir los datos de los caracteres de control, por secuencias de bits: en comunicaciones orientadas a bit, se puede emplear una secuencia de bits para indicar el principio y fin de una trama.

Se suele emplear el "guion", 01111110, en transmisión siempre que aparezcan cinco unos seguidos se rellena con un cero; en recepción siempre que tras cinco unos aparezca un cero se elimina, por violación del nivel físico: se trata de introducir una señal, o nivel de señal, que no se corresponda ni con un "1" ni con un "0". Por ejemplo si la codificación física es bipolar se puede usar el nivel de 0 voltios, o en Codificación Manchester ( es un método de codificación eléctrica de una señal binaria en el que en cada tiempo de bit hay una transición entre dos niveles de señal. Es una codificación autosincronizada, ya que en cada bit se puede obtener la señal de reloj, lo que hace posible una sincronización precisa del flujo de datos. Una desventaja es que consume el doble de ancho de banda que una transmisión asíncrona. Hoy en día hay numerosas codificaciones (8b/10b) que logran el mismo resultado pero consumiendo menor ancho de banda que la codificación Manchester.) se puede tener la señal a nivel alto o bajo durante todo el tiempo de bit (evitando la transición de niveles característica de este sistema). El estándar de facto evolucionó hacia varios estándares oficiales, como son: FR Forum (Asociación de Fabricantes): Cisco, DEC, Stratacom y Nortel. ANSI: fuente de normativas Frame-Relay.

Ventajas y desventajas del uso de la codificación Manchester

Como ventajas principales se pueden destacar las siguientes:


La codificación Manchester o codificación bifase-L es autosincronizada: provee una forma simple de codificar secuencias de bits, incluso cuando hay largas secuencias de periodos sin transiciones de nivel que puedan significar la pérdida de sincronización, o incluso errores en las secuencias de bits. Por ello es altamente fiable.

Detección de retardos: directamente relacionado con la característica anterior, a primera vista podría parecer que un periodo de error de medio bit conduciría a una salida invertida en el extremo receptor, pero una consideración más cuidadosa revela que para datos típicos esto llevaría a violaciones de código. El hardware usado puede detectar esas violaciones de código, y usar esta información para sincronizar adecuadamente en la interpretación correcta de los datos.

Esta codificación también nos asegura que la componente continua de las señales es cero si se emplean valores positivos y negativos para representar los niveles de la señal, haciendo más fácil la regeneración de la señal, y evitando las pérdidas de energía de las señales.

Las principales desventajas asociadas son las siguientes:

Ancho de banda del doble de la señal de datos: una consecuencia de las transiciones para cada bit es que el requerimiento del ancho de banda para la codificación Manchester es el doble comparado en las comunicaciones asíncronas, y el espectro de la señal es considerablemente más ancho. La mayoría de los sistemas modernos de comunicación están hechos con protocolos con líneas de codificación que persiguen las mismas metas, pero optimizan mejor el ancho de banda, haciéndolo menor.

Fin del primer capitulo

https://concepto.de/red-2/
https://es.wikipedia.org/wiki/Carrier_sense_multiple_access_with_collision_detection
https://www.redeszone.net/tutoriales/redes-cable/tipos-redes-informaticas/
https://www.profesionalreview.com/redes/
https://www.ionos.mx/digitalguide/servidores/know-how/los-tipos-de-redes-mas-conocidos/